打印
在国家自然科学基金项目(批准号:72473107、72273085、72033004)等资助下,武汉大学孙祥与上海财经大学唐前锋团队在共同所有权条件下的市场设计方面取得进展。相关研究成果以“共同所有权结构下的核配置(On the Core of Markets with Co-ownerships and Indivisibilities)”为题,发表于《经济理论杂志》(Journal of Economic Theory)。论文链接https://doi.org/10.1016/j.jet.2025.106135。
该研究聚焦于“如何在共同所有权与不可分性约束并存的环境下,构建合理的资源配置机制”这一核心命题。共同所有权结构普遍存在于住房分配、学校选择等关键制度设计领域,其所有权交叉与不可分性特征对传统市场设计理论构成了新的挑战。
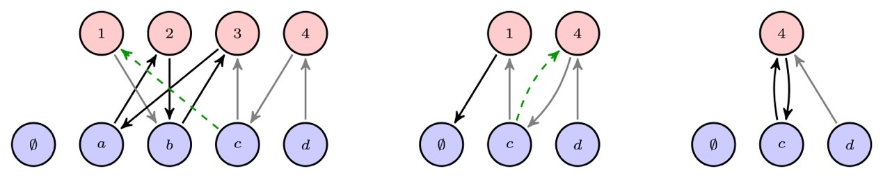
长期以来,相关文献对资源配置稳定性的分析主要依赖“强核”“弱核”等经典概念。然而,在共同所有权条件下,这些概念往往难以同时兼顾配置的合理性与存在性,从而限制了其在现实制度环境中的适用性。针对这一不足,本文提出了一种新的配置稳定性概念——“有效核”。具体而言,有效核在弱核的基础上引入“可信阻碍”要求,避免联盟在阻碍过程中不合理地“搭便车”使用子联盟的冗余资源,从而剔除了经典概念中的非可信阻碍。这一改进使得有效核在保留经典概念基本性质的同时,在存在性上优于弱核,在配置合理性上优于强核。在算法设计层面,研究团队进一步提出了抗策略操作的分层带补偿交换机制,为共同所有权情形下的实际制度设计提供了切实可行的操作方案。该研究不仅为共同所有权条件下的市场设计理论提供了更为清晰的分析框架,也为相关公共资源配置制度的优化提供了理论支撑。

图1 分层带补偿交换机制流程展示

图2 分层带补偿交换机制流程展示