打印

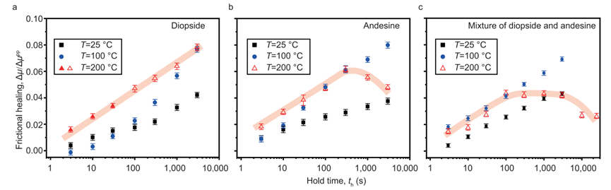
图1 (a)–(c) 辉石、长石单组分及其混合断层泥的摩擦愈合实验结果

图2 (a) 多种长石与富含长石岩石的摩擦愈合实验结果;(b)原子力显微镜下辉石和长石单颗粒的摩擦愈合实验结果
在国家自然科学基金项目(批准号:42422408、42174223、12025203和U1839211)等资助下,中国地震局地质研究所、清华大学、意大利帕多瓦大学联合团队的冯炜博士、姚路研究员、李群仰教授、Giulio Di Toro教授等,在断层摩擦愈合速率的实验研究方面取得进展。相关研究成果以“水热条件下长石降低了断层愈合速率(Feldspar reduces fault frictional healing rate under hydrothermal conditions)”为题,于2026年1月6日在线发表于《自然・通讯》(Nature Communications)。论文链接:https://www.nature.com/articles/s41467-025-67521-x。
地震发生后断层强度随时间逐渐恢复的过程称为断层愈合,该过程为地震预测、地震复发周期研究提供重要参考。在地震研究中,断层愈合具有多样性,既包括力学上的摩擦愈合,也包括裂隙闭合、水岩相互作用等其他物理-化学范畴的愈合。过去大量的实验数据显示断层的摩擦愈合受矿物组成、温压条件、加载速率等多种因素影响,断层强度恢复通常被认为随着保持时间呈对数线性增加。然而,近年来,科学家们发现了花岗岩、辉长岩等在水热条件下可呈现“反常”愈合现象。
针对这一问题,该研究团队创新性地设计了多类型实验,如调整保持时间增降序列的愈合实验、分离辉长岩主要矿物组分(长石与辉石)的单矿物愈合实验、以及多温度阶段的愈合实验等,发现长石是导致辉长岩摩擦愈合率降低的主要原因(图1)。进一步将实验拓展至多种长石类型及富含长石的岩石,结果表明该效应具有一定的普遍性(图2a)。研究团队结合原子力显微镜下长石单颗粒摩擦愈合实验中观察到的类似现象(图2b),提出长石导致的愈合率降低主要源于接触强度在超过某一特征时间尺度后会显著下降。
该研究从宏观摩擦实验与微观接触实验两个尺度,揭示了断层岩石中的长石会降低断层的愈合速率,解释了震后断层强度没有随时间对数线性增加的“反常”现象,为研究地震周期中断层强度演化提供了新视角。