打印
在国家自然科学基金项目(批准号:12375021)等资助下,浙江大学应磊教授团队与奥地利因斯布鲁克大学冷原子团队合作,在量子多体动力学研究方面取得进展。团队在实验上观测到多体动力学局域化,揭示了强相互作用量子体系在周期驱动下并非必然热化或陷入混沌,而是能够保持动量分布冻结和能量熵饱和的稳定相。相关成果以“多体动力学局域化的观测(Observation of many-body dynamical localization)”为题,于2025年8月14日发表在《科学》(Science)杂志上,论文链接:https://doi.org/10.1126/science.adn8625。
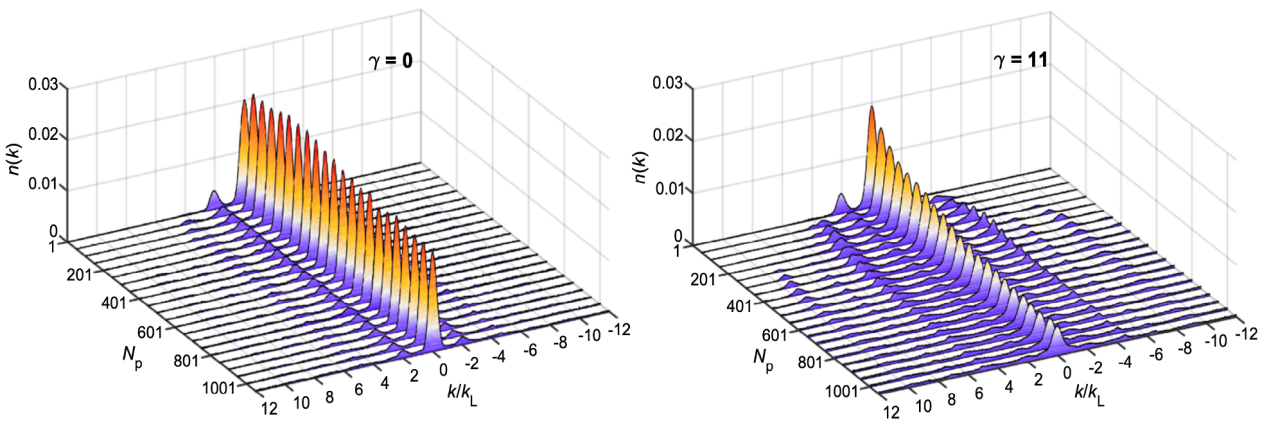
量子受激转子是量子物理中研究混沌与局域化的重要模型,其单粒子版本已被证实存在动量空间的动力学局域化。当引入多体相互作用时,传统观点认为这种局域化会被破坏并导致体系热化。研究团队基于一维强关联超冷铯原子气体,构建了具有可调相互作用的量子受激转子实验平台,覆盖从无相互作用到强相互作用的极限。在经历数百次周期踢击后,体系的动量分布趋于冻结,动能与信息熵也同步达到饱和状态(图)。在理论上,团队基于一维受激模型,结合时间依赖哈密顿量与数值模拟,并与实验数据进行对比,明确揭示了量子相干性与强相互作用的协同作用能够阻止局域化的破坏,从而清晰展现了多体动力学局域化的存在。
该研究成果为深入理解量子混沌和热化与非平衡动力学的边界提供了新视角,也为未来在量子模拟、量子信息与精密测量等前沿领域探索多体相干控制提供了新方法。

图 无相互作用(左)与强相互作用系统(右)在踢时的动量分布随踢击次数演化过程