打印
在国家自然科学基金项目(批准号:12322509、12547102、12275338)等资助下,复旦大学/华东师范大学马余刚教授团队对宇宙大爆炸关键原初核反应p(n, γ)D进行了实验研究,获得了更精确的反应截面和反应率数据。相关研究成果以“D(γ, n)p光解反应的高精度测量及其对大爆炸核合成的启示(High-Precision Measurement of D(γ, n)p Photodisintegration Reaction and Implications for Big-Bang Nucleosynthesis)”为题,于2026年2月4日在线发表于《物理评论快报》(Physical Review Letters)期刊上,论文链接:https://doi.org/10.1103/tbbt-s819。
根据大爆炸理论,当宇宙诞生约3分钟时,原初大爆炸核合成(Big-Bang Nucleosynthesis,BBN)开始,随着宇宙膨胀温度密度迅速降低,原初核反应在不到半小时后就熄灭了。通过BBN只有最轻的核素被合成到可观的数量,产生了大约75%的1H和25%的4He,以及极少量的2H、3He和7Li。氘作为大爆炸核合成产生的第一种核素,是后续反应的关键原初物质和燃料。目前天文观测到的氘丰度的精度已达到约1%的水平,因此,BBN理论预测和核物理数据也需要达到类似的水平。产生氘的p(n, γ)D反应是与氘丰度相关的重要反应之一,但其在BBN能量范围内的截面还有很大的不确定度。因此,精确测定该反应截面对于研究关键宇宙学参数重子数密度Ωbh2、原初氘丰度以及在精确宇宙学背景下研究BBN及其稳健性都具有重要的物理意义。
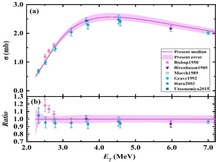
上海激光-电子伽马源(SLEGS)装置是全球首个实现斜散射模式的激光康普顿散射装置,可在0.4~21.7 MeV的能量范围内提供高亮度的准单色伽马射线源。研究团队通过在SLEGS装置上测量pn俘获反应的逆反应D(γ, n)p,对光中子截面进行了高精度测量,其精度提高了2倍多(图)。团队通过使用重子有效场理论进行全局马尔可夫链蒙特卡洛数据分析,获得了精确的p(n, γ)D反应截面和精度为0.1%的热核反应率,其精度比20年前的数值高出大约4倍,新的高精度反应率使重子数密度Ωbh2的不确定度降低了10~16%。
研究还发现由原初氘丰度观测和宇宙微波背景辐射测量所约束的Ωbh2之间存在显著的约1.2σ的矛盾,暗示着标准宇宙学模型之外存在新物理的线索,对精确宇宙学研究具有重要物理意义。

图 D(γ, n)p反应的光中子截面