打印

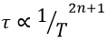
图 芯片图以及随机多极驱动协议
在国家自然科学基金项目(批准号:T2121001, T2322030等)等资助下,中国科学院物理研究所超导量子计算与模拟团队联合国内外多家科研机构,成功在 78 量子比特超导量子芯片上实现了随机多极驱动下的预热化动力学实验,清晰观测到预热化平台及其关键物理特征。相关成果以“在 78 量子比特处理器上通过随机多极驱动的预热化(Prethermalization by random multipolar driving on a 78-qubit processor)”为题,于2026年1月28日发表在《自然》(Nature),论文链接:https://doi.org/10.1038/s41586-025-09977-x。
含时驱动量子系统能够呈现许多静态体系中不存在的非平衡物理现象,如离散时间晶体、Floquet 拓扑物相等。然而,由于连续时间平移对称性的破缺,驱动往往会使系统快速热化至无穷高温态,使其进入混沌不可控的状态。理解含时驱动下的热化规律,是稳定非平衡物相与实现可控量子动力学的关键。尽管周期或准周期驱动的高频预热化机制已被广泛研究,但对于更一般的随机驱动,其热化行为仍缺乏系统实验验证,尤其在大规模量子体系中更是长期未解的问题。
本次研究基于物理所最新研制的二维 6×13 方格阵列超导量子芯片“庄子(Chuang-tzu)2.0”,在 78 个量子比特和 137 个可调耦合器构成的体系中,首次实现了随机多极驱动下的预热化动力学实验。团队将体系初态制备为交替半满的密度波结构,通过给系统施加由驱动极数 n 和驱动单元时长 T 决定的随机多极驱动,使系统在不同驱动参数下历经约1000个周期的长时演化,并对末态进行量子态层析与粒子数测量。实验清晰观测到完全热化前的亚稳态预热化平台,并揭示了预热化寿命随驱动参数呈幂律可调的关系
。同时,实验发现预热化平台在不同子系统中呈现显著非均匀性,并观察到熵从面积律向体积律的转变。由于强体积律导致的高纠缠增长,现有张量网络数值方法在长时演化中出现明显偏差,无法有效模拟 78 比特体系的动力学,凸显了超导量子模拟在大规模非平衡量子动力学研究中的潜在量子优势。