• Contact us
    • Home

    • News

      NSFC Headlines News Updates

    • Policy

      NSFC Constitution NSFC Regulations

    • Report

      NSFC Annual Report

    • International Cooperation

      Introduction Partnerships Categories The Research Fund For International Scientists Science Fund for Global Challenges and Sustainability

    • Funding & Support

      Application and Review Process Guide to Programs

    • About Us

      NSFC at a Glance Organization Contact us NSFC Leadership

    /     Home     /     News Room     /     News Updates
  • Chinese scholars make progress in the mechanism of spindle assembly in human oocyte Jan 12, 2023

    Supported by the National Natural Science Foundation of China (Grant No. 81725006, 82101737, 82171643, and 81971450)...

  • Chinese scientists make progress in the study of exotic hadrons Jan 12, 2023

    Supported by the National Natural Science Foundation of China (Grant No. 11922511, 11935016, 12061131003, 11961141012)...

  • Chinese scholars make progress in the mechanism of low latitude forcing for the paleoclimate evolution Dec 06, 2022

    Supported by the National Natural Science Foundation of China...

  • Chinese scholars make progress in liver tumour immune microenvironment heterogeneity Dec 06, 2022

    Supported by the National Natural Science Foundation of China...

  • Chinese scholars make progress in electrical/thermal integrated rectification Nov 01, 2022

    Supported by the National Natural Science Foundation of China...

  • Chinese scientists achieve new breakthrough in the field of “Atomic Lego-like” quantum simulation Oct 21, 2022

    Under the support of the National Natural Science Foundation of China (Grant No.: 62034004, 62122036)...

  • Chinese scholars make progress in the field of laser crystal and laser physics Oct 20, 2022

    Supported by the National Natural Science Foundation of China (Grant No. 52025021, 92163207, 51890863)...

  • Chinese scholars make progress in the study of insulator-metal transition in materials Oct 20, 2022

    Supported by the National Natural Science Foundation of China (Grant No. 51788104, 52025024, and 51872155)...

  • Chinese researchers made breakthrough in high-precision time and frequency dissemination over a long free-space link Oct 20, 2022

    Supported by the National Natural Science Foundation of China (grant No. T2125010, 61825505) and other projects...

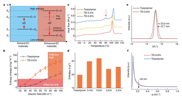
  • Chinese scholars make progress in the field of organic conducting polymers Sep 22, 2022

    Supported by the National Natural Science Foundation of China (grant No.U21A6002) and other projects...

  • Chinese Scientists and Overseas Collaborators Make Progress in self-cleaning membrane for antifouling Sep 07, 2022

    Supported by the National Natural Science Foundation of China (Grant No. 21976085)...

  • Chinese Scholars and Cooperators Achieve Progress in Flexible thermoelectrics Sep 02, 2022

    Supported by the National Natural Science Foundation of China (Grant No. 91963208, 51625205) and other projects...

  • Chinese Scholars and Cooperators Achieved Progress in High-Performance Filter Capacitor Sep 02, 2022

    Supported by the National Natural Science Foundation of China (Grant No. 91963202, 52072373) and other projects...

  • China-USA Scholars Make Breakthrough in Observation of Spin-Charge Separation Aug 08, 2022

    Supported by the National Natural Science Foundation of China (Grant No. 12134015, 11874393, 12121004), the research team led by Prof...

  • Chinese Scientists and Overseas Collaborators Make Progress in Elucidating Direct Transformation from Graphite to Diamond Jul 18, 2022

  • Chinese scientists make progress in creating novel 2D single-crystal carbon material Jul 07, 2022

  • Chinese Scholars and Overseas collaborators have made progress in exploring matter and antimatter asymmetry Jun 22, 2022

    Chinese Scholars and Overseas collaborators...

  • Chinese scientists made breakthrough on local hyperthermia therapy against obesity via activation of white fat browning Apr 19, 2022

  • Chinese Scholars and Cooperators Achieved Progress in Bioprocessing-inspired Fabrication Apr 19, 2022

  • China scientists made major progress in developing new pathway on chiral synthesis Apr 07, 2022

  • 上一页 1 ... 4 5 6 7 8 9 10 11 12 13 下一页

    About Us

    Contact Us

    National Natural Science Foundation of China

    Add: 83 Shuangqing Rd., Haidian District, Beijing, China

    Postcode: 100085

    Tel: 86-10-62327001

    Fax: 86-10-62327004

    E-mail: bic@nsfc.gov.cn

    京ICP备05002826号 文保网安备1101080035号 Copyright 2017 NSFC, All Right Reserved