• Contact us
    • Home

    • News

      NSFC Headlines News Updates

    • Policy

      NSFC Constitution NSFC Regulations

    • Report

      NSFC Annual Report

    • International Cooperation

      Introduction Partnerships Categories The Research Fund For International Scientists Science Fund for Global Challenges and Sustainability

    • Funding & Support

      Application and Review Process Guide to Programs

    • About Us

      NSFC at a Glance Organization Contact us NSFC Leadership

    /     Home     /     News Room     /     News Updates
  • Chinese scientists made important progress in the field of solar energy conversion by the photoelectric effect of minerals Jun 13, 2019

    Using ferroelectric materials as gate dielectrics, the ferroelectric transistors are supposed to one of the new devices that can break through the Boltzmann limits of conventional metal-oxide semiconductor field-effect transistors (MOSFETs)

  • Supramolecular material functions as anion receptor for selective removal of radioactive 99TcO4− Jun 13, 2019

    Vigorously developing nuclear power is an important option for energy structure upgrading in China. Nuclear waste treatment related with nuclear fuel cycle is facing unprecedented challenges. At the current stage, there are tremendous basic research needs in this field to guarantee its sustainable

  • Chinese researchers discover colossal barocaloric effects in plastic crystals May 16, 2019

    A new discovery funded by the NSFC grants (Nos. 51671192, 51531008, 11804346) reveals colossal barocaloric effects in plastic crystals and indicates a new direction for emergent solid-state refrigeration technologies.

  • Chinese researchers make important progress in the study of interface chemistry for environmental pollution control May 16, 2019

    With the support of the National Natural Science Foundation of China, Professor Sihui Zhan’s team from the College of Environmental Science and Engineering of Nankai University in China have made important progress in the study of interface chemistry for environmental pollution control.

  • Chinese scholars demonstrate clinical and research progress in traumatic brain injury May 16, 2019

    As a serious public health problem in China, TBI with the annual incidence of 55-64/100,000 causes nearly 100,000 deaths and hundreds of thousands of disabilities. Through extensive data analysis, this paper comprehensively analyzes the characteristics and current situation of TBI in China.

  • γ-ERS: A Neural Indicator of Pain Sensitivity Across Individuals May 10, 2019

    Prof. Li Hu at the Institute of Psychology, Chinese Academy of Sciences, together with Prof. Giandomenico Iannetti at University College London, demonstrated that brain oscillations in the gamma band reliably and selectively predict pain sensitivity across individuals.

  • Chinese scientists make significant progress in negative capacitance field-effect transistors May 10, 2019

    The research group led by Prof. Genquan Han and Prof. Yue Hao at Xidian University in China has achieved significant progress in the field of ferroelectric field-effect transistors.

  • Chinese Scientists Reveal the "Reprogramming" of Meiotic Chromatin Architecture during Spermatogenesis Apr 28, 2019

    Prof. Xie Wei of Tsinghua University together with Prof. Wu Xin of Nanjing Medical University, revealed the reprogramming and molecular basis of meiotic chromatin architecture during spermatogenesis in mammals.

  • Chinese Scientists achieve great progress in polymer solar cells with photon response in Near-Infrared Mar 29, 2019

    Polymer solar cells (PSCs) have made continuous breakthroughs in the recent few years, which can be raised from the fast development of novel organic semiconductor molecules and polymers.

  • Chinese scientists make a significant progress in three-dimensional photonic topological insulator Mar 29, 2019

    Hongsheng Chen’s group at Zhejiang University in China and their coworkers, Baile Zhang and Yidong Chong at Nanyang Technological University in Singapore have now announced the realization of three-dimensional (3D) photonic topological insulator

  • The research findings of how to globalize the circular economy was published in Nature Mar 06, 2019

    During the process of global economic development, problems such as inefficient use of resources, serious pollution of waste, uncontrolled emission of greenhouse gas, and excessive wastewater are emerging. Global demand for resource is projected to be doubled by 2050.

  • Chinese Scientists Elucidate Hematopoietic Stem and Progenitor Cells (HSPCs) Homing Process in-vivo Mar 06, 2019

    The research team of Professor Weijun Pan from Shanghai Institute of Nutrition and Health, Chinese Academy of Sciences, revealed the entire dynamic process of Hematopoietic Stem and Progenitor Cells (HSPCs) homing in vivo through high-resolution live imaging analysis.

  • Chinese scientists discovered a new mechanism by which mitochondria regulate protein homeostasis in cells Feb 26, 2019

    Supported by the Major Project of the National Natural Science Foundation of China (31790404) and other awards, Quan Chen and his fellows reported a new protein degradation pathway mediated by mitochondrial protein FUNDC1 and cytosolic chaperone HSC70.

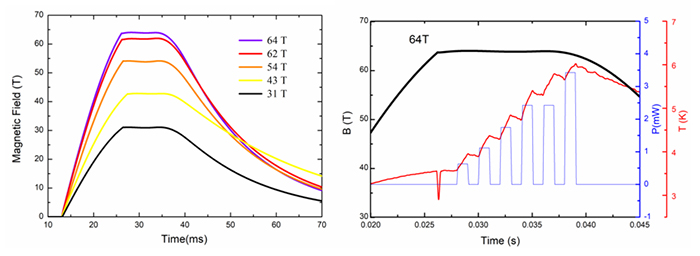
  • World Record of 64T Pulsed Magnetic Field with Flattop achieved at the Wuhan National High Magnetic Field Center Feb 26, 2019

    Recently, Prof. Liang Li’s team (supported by NSFC grants 51821005, 51677079‬, 51177062, 50888002‬) at the Wuhan National High Magnetic Field Center, Huazhong University of Science and Technology has made significant progress in the generation of pulsed magnetic field.

  • Chinese Scholars Made Important Progress in the Research on the Mechanism of Age-Related Hearing Loss Feb 26, 2019

    Supported by the grant from National Natural Science Foundation of China (No. 81670943) and other funding, a team from Shandong University made significant advances in understanding the mechanism of age related hearing loss.

  • Chinese immunologists revealed a new mechanism for the regulation and activation of B lymphocytes in autoimmune diseases Feb 26, 2019

    With the support of the National Natural Science Foundation of China (NSFC grant number: 81730043, 81621002 and 31530020), a joint team published a paper in Science entitled "Autoimmune disease variant of IgG1 modulates B Cell activation and differentiation" on October 4th 2018.

  • Chinese scientists report a gut bacterium regulates mosquito vector competence to arboviruses Feb 26, 2019

    With the support of the National Natural Science Foundation of China (Grant No. 81730063, 81571975, 81420108024), the research team of Professor Gong Cheng at Tsinghua University in cooperation with Southern Medical University made an important progress in mosquito-arbovirus interactions.

  • Chinese Scholars Reveal a New Regulation Mechanism of PD-L1 Lysosomal Degradation Feb 26, 2019

    Jie Xu, a researcher from Shanghai Jiaotong University, supported by the National Natural Science Foundation of China (Grant No. 81572326, 81322036, 81320108024), has made important progress in the study of PD-L1 lysosomal degradation and its regulation mechanism.

  • Chinese scientists have made significant breakthrough in the field of OLED Feb 19, 2019

    With the support of the National Natural Science Foundation of China (Project No. 51673080,91233113), an international research team led by Prof. Feng Li from Jilin University and Prof. Richard H. Friend from Cambridge University has discovered that semiconducting molecules with unpaired electrons.

  • Chinese scholars have made important research progress in the immunological mechanism of myocardial ischemia/reperfusion injury Nov 22, 2018

    With the support of National Natural Science Foundation of China (Project No. 81570316, 81400362), research team of Professor Ruiyan Zhang and Doctor Xiaoxiang Yan at Ruijin Hospital affiliated to Shanghai Jiaotong University, made important breakthrough.

  • 上一页 1 ... 7 8 9 10 11 12 13 下一页

    About Us

    Contact Us

    National Natural Science Foundation of China

    Add: 83 Shuangqing Rd., Haidian District, Beijing, China

    Postcode: 100085

    Tel: 86-10-62327001

    Fax: 86-10-62327004

    E-mail: bic@nsfc.gov.cn

    京ICP备05002826号 文保网安备1101080035号 Copyright 2017 NSFC, All Right Reserved