近日,南方科技大学物理系讲席教授、中国原子能科学研究院研究员柳卫平带领的基金委重大项目JUNA合作组,依托中国锦屏深地核天体物理实验装置(JUNA),对关键核天体反应19F(p,g)20Ne进行了反应截面的直接测量,将测量范围推进到世界最低能区,并发现了一个新的共振,解释了宇宙中已知最古老恒星(SMSS0313-6708)的钙丰度起源问题。相关成果发表于国际顶级期刊《自然》(Nature)上并被选为亮点文章。这也是科研人员在我国核物理研究平台上发表的第一篇Nature文章。

对于恒星平稳演化阶段相对低温环境下发生的热核反应,其决定反应率的有效伽莫夫窗口远低于库仑势垒,且反应截面甚小,使得直接测量十分困难。深地实验室能够极大地降低宇宙射线造成的干扰,提供本底极低的测量环境,有利于开展稀有反应事件的精确测量和研究。中国锦屏地下实验室(CJPL)覆盖岩层厚达2400多米,居世界之首。宇宙射线通量比意大利格兰萨索地下LUNA实验室还要低大约100倍。锦屏II期新建了8个实验洞用于开展暗物质、中微子和核天体物理等多学科深地科学研究。其中,A1实验洞用于建设核天体物理(JUNA)实验装置。
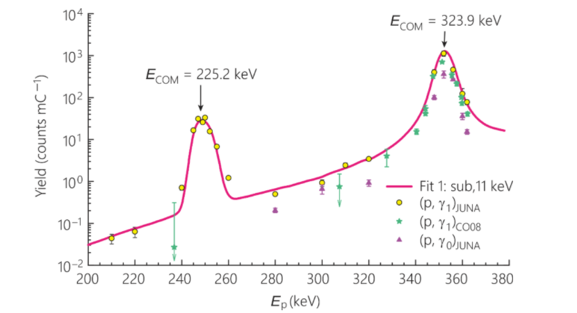
宇宙中已知最古老的极贫金属星(SMSS0313-6708)中的钙丰度起源问题,至今仍然是一个谜。这些恒星也被称为第一代星、Pop III星或原初恒星。之前的理论认为,这些钙可能来源于‘热’碳氮氧循环的突破反应。然而突破反应19F(p,g)20Ne 在天体物理感兴趣的伽莫夫能区尚无实验数据,这导致难以用恒星演化模型去解释天文观测数据。在地面实验室由于宇宙射线本底的影响,人们一直无法对该反应进行伽莫夫能区的直接测量。锦屏深地实验室为研究该反应提供了绝佳的本底环境。在首席科学家柳卫平的JUNA团队支持下,项目子课题负责人何建军教授带领科研团队经过几年艰苦攻关,成功研制出目前耐辐照能力最强的19F注入靶。于2021年初,利用锦屏加速器提供的强流质子束成功将该突破反应19F(p,g)20Ne从之前的240 keV一直向下推进至186 keV能量点,触碰到了第一代星感兴趣的伽莫夫能区,并幸运地在225 keV处发现了一个新的共振(见图1)。在第一代星最感兴趣的0.1 GK温度附近,此新共振的发现使得19F(p,g)20Ne的反应率比之前NACRE数据库中的推荐值增加了5.4~7.4倍;将之前0.1 GK温度附近的反应率不确定度从几个数量级缩小至50%左右(见图2),这极大地降低了该反应率在天体网络计算中所引入的误差。同时,通过与其他天体物理学家的合作,研究人员研究了该反应率在第一代星中的影响,计算表明19F(p,g)20Ne反应从‘温’碳氮氧循环突破出去的概率比之前理论预言要大7倍左右,这解释了极贫金属星SMSS0313-6708中观测到的钙丰度问题(见图3)。

图1:JUNA测量的19F(p,g)20Ne反应的产额曲线。其中发现的新共振位于225.2 keV,红色实线为R-矩阵拟合的结果。CO08为以前地面实验的数据,JUNA代表锦屏深地实验的数据。

图2:19F(p,g)20Ne反应率与NACRE数据库推荐值的比较。其中,小插图表示0.14 GK温度下的比值。带颜色的带子表示相应反应率的不确定度。其中红色的线为JUNA的结果。

图3:天体物理模型计算的第一代星中钙的丰度。其中,I:简化模型;II:混合对流模型;III:完整模型。灰色虚线表示Pop III星(SMSS0313-6708)的观测丰度。其中红色的点为JUNA的结果。
另外,此研究强有力地支持了Pop III星的弱超新星爆模型,排除了其他天体模型的可能性。值得一提的是,近期发射升空的詹姆斯·韦布太空望远镜JWST的关键科学目标之一,即是对宇宙中最古老的第一代星和星系的探测,目前已经观测到一批古老的恒星群。因此,本工作为研究JWST未来的观测结果提供了可靠的核物理输入量(见图4)。
图4:锦屏深地核天体物理实验JUNA艺术家想象图,天空背景为JWST天文望远镜发布的第一张深场照片,大山为四川西昌锦屏山,山中间的实验装置为JUNA核天体物理的加速器和探测器。
作为JUNA实验装置的首批成果之一,19F(p,g)20Ne实验的成功开展证明了JUNA全面具备了进行深地核天体物理研究的能力。《自然》审稿人认为:“这是一个巨大的实验成功。这为未来的核天体物理学研究提供了新途径。这项研究结果会引起核天体物理学界的强烈兴趣,包括实验物理学、恒星建模以及观测等。这一结果毫无疑问值得发表。”2006年诺贝尔物理奖获得者、JWST的首席科学家约翰·马瑟也来函祝贺:“祝贺你们的新测量,我觉得它们相当重要。”
论文第一作者为北京师范大学副教授张立勇,通讯作者为北京师范大学教授何建军,南科大讲席教授柳卫平,美国圣母大学教授M. Wiescher。以上研究得到了国家自然基金委重大项目和杰出青年基金项目等基金的大力资助。
论文链接:www.nature.com/articles/s41586-022-05230-x
News & Views article in Nature: www.nature.com/articles/d41586-022-03367-3