西工大新闻网7月9日电(任兆欣)近日,由我校动力与能源学院新型喷气推进技术研究所任兆欣助理教授和郑龙席教授联合清华大学航天航空学院喷雾燃烧与推进实验室王兵教授组成的研究团队在超燃冲压发动机中激波诱导气液两相燃烧的研究方面取得新进展,首次探索了液体燃料对斜激波到斜爆震波转变状态的影响规律,首次发现了斜激波与湍流旋涡作用下的两种燃烧状态。研究结论可为超声速气流中气液两相稳定燃烧的工程应用提供理论依据。
基于该研究成果的一篇论文《预混燃料-空气气流的多相组分对斜坡诱导斜爆震稳定性的影响》发表于流体力学顶级期刊《Journal of Fluid Mechanics》,这是西工大航空宇航推进理论与工程学科在该期刊发表的第一篇研究论文,是近十年来西工大以第一作者或通讯作者单位发表的第五篇论文。
超燃冲压发动机燃烧室中存在着激波等复杂波系结构。激波既可以加速燃料与氧气的混合,又可以提高激波后气体的温度与压力。正是由于这样的性质,激波可以促进并稳定燃烧。激波、湍流旋涡、燃料液雾与火焰的复杂相互作用过程,其机理的深入研究对于合理组织燃料-氧气混合与稳定燃烧都具有非要重要的意义。然而,国际上的相关研究仅限于气体燃料,一直缺乏对液体燃料的深入研究。
研究团队多年来从事超声速流动、着火与燃烧特性的系统深入研究。为了对激波诱导气液两相燃烧有更加深入的认识,自主研发了超声速喷雾燃烧的高精度数值模拟软件平台。研究团队利用数值模拟技术对气液两相燃烧物理开展了大量研究并在其相关工程应用方面探索更多可能性。他们在斜激波诱导气液两相燃烧的研究中,首次发现燃料由蒸汽变为液滴影响着斜激波到斜爆震波的转变状态以及转变压力[1],如图1所示。燃料液滴与爆震波相互作用中蒸发散热与化学反应释热的竞争关系导致了波后复杂的火焰结构。

图1斜激波诱导燃烧中无量纲压力P/P0(上图)与无量纲温度T/T0(下图)的瞬时分布:(a)燃料蒸汽,(b)燃料蒸汽与燃料液滴混合物,(c)燃料液滴。
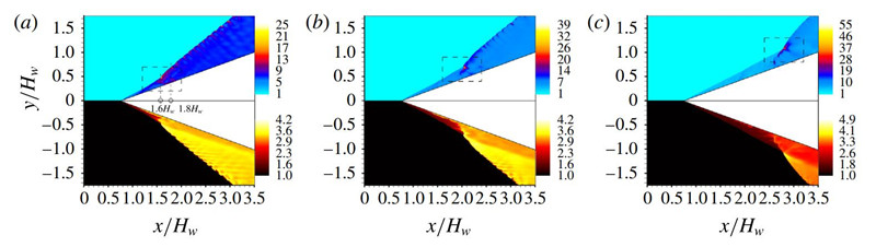
他们在湍流旋涡、斜激波与化学反应的相互作用方面的研究中首次发现了两种燃烧状态,包括由折射激波与化学反应诱导形成的局部近似爆震燃烧状态[2],如图2所示:

(a)

(b)

(c)
图2斜激波与剪切旋涡相互作用过程中的无量纲温度T/T0与燃料蒸汽质量分数(蓝色虚线YF=0.05)的瞬时分布:(a)弱激波与化学计量混合物(热自燃状态),(b)强激波与化学计量混合物,(c)强激波与富燃混合物(局部近似爆震燃烧状态)。灰色圆点表示燃料液滴。
另一篇论文《超声速负载液滴平面混合层中旋涡、激波与释热反应相互作用的数值分析》发表于流体力学权威期刊《Physics of Fluids》并被选为今年第三期的Featured Article(亮点文章)与Press Release(每期仅有一篇论文被选择并报道)。
论文相关链接:
[1] 《预混燃料-空气气流的多相组分对斜坡诱导斜爆震稳定性的影响》(Effect of the multiphase composition in a premixed fuel–air stream on wedge-induced oblique detonation stabilisation)
[2] 《超声速负载液滴平面混合层中旋涡、激波与释热反应相互作用的数值分析》(Numerical analysis on interactions of vortex, shock wave, and exothermal reaction in a supersonic planar shear layer laden with droplets)
https://aip.scitation.org/doi/10.1063/1.5011708
新闻报道链接:
https://publishing.aip.org/publishing/journal-highlights/view-inside-supersonic-combustion?Track=POFfb(设计超高速推进的超燃冲压发动机变得更加容易。)
https://www.theengineer.co.uk/modelling-supersonic-combustion-advance-design-scramjets/(模拟超声速燃烧可以推进超燃冲压发动机的设计:中国工程师设计方法用于高超声速冲压发动机内湍流的数值分析。)
(审稿:严红)