上海有机所汤文军课题组在构建手性1,2-二胺结构方面取得重要进展

日期:2020年07月03日 来源:www.sioc.cas.cn 作者:系统管理员 【打印】 【关闭】

 

  中国科学院上海有机化学研究所生命有机化学国家重点实验室汤文军课题组通过设计新型的手性联硼酸酯试剂和新的反应模式,成功发展了手性联硼酸酯介导的亚胺不对称还原偶联,以优秀的产率、优异的立体选择性制备了一系列手性1,2-二胺化合物,拓宽了联硼参与的[3,3]σ迁移重排周环理论(图一)。该反应立体专一性好、对映选择性佳、反应条件简单温和、原料易得、底物适用范围广谱,是一个较理想、实用的构筑手性1,2-二胺结构的合成方法(J. Am. Chem. Soc. 2020, doi: 10.1021/jacs.0c04558)。

  

   图一 手性联硼酸酯介导的亚胺不对称还原偶联反应构筑手性1,2-二胺结构

  在有机化学的发展历程中,新试剂的创造往往会促进新反应的发现,实现物质的精准构筑,催生全新的反应模式。手性1,2-二胺结构广泛存在于天然产物、医药和农药分子中,含有手性1,2-二胺结构的配体和金属催化剂在不对称催化领域中发挥着不可替代的作用。合成手性1,2-二胺化合物的方法通常是合成其消旋化合物然后进行拆分,由于往往掺杂着内消旋副产物的生成,总产率低,步骤繁琐;现有的一些不对称合成方法仍然存在步骤冗长,底物适用性狭窄等缺陷,发展更高效、实用的制备方法具有十分重要的意义。

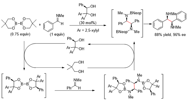
  汤文军研究团队前期利用手性联硼酸酯实现了异喹啉骨架化合物的不对称还原偶联反应。他们通过机理实验和计算,首次提出了联硼参与的[33]σ迁移重排机制J. Am. Chem. Soc. 2017, 139, 9767-9770)。为了实现具有更大应用前景的亚胺不对称还原偶联反应,研究团队在这份工作中设计并合成了更大位阻的手性联硼酸酯试剂,可以与四种类型的双亚胺分子配位,经六元环椅式构象过渡态,实现高立体选择性的还原偶联。研究发现,该反应体系适用于不同位置不同电性取代的N-氢取代芳醛亚胺、N-甲基取代芳醛亚胺、脂肪醛亚胺和环状亚胺底物,一系列以前很难制备的手性1,2-二胺化合物均能以高收率和高立体选择性地顺利获得。值得注意的是,采用催化量的手性双醇和当量的联硼酸新戊二醇酯联用策略,经醇酯交换原位生成活性联硼酸酯,同样可以高效实现N-氢取代芳醛亚胺和N-甲基取代芳醛亚胺的不对称还原偶联(图二)。该不对称还原偶联反应采用的手性双醇已实现了公斤级的制备,数十克规模的手性1,2-二胺可以简便制得。该方法的操作简便性和可放大性为其工业应用打下坚实基础。此项工作将大幅度促进手性1,2-双胺相关的化学研究,并进一步巩固了联硼参与的周环反应的实验和理论基础。

  

   图二. 催化量的手性双醇和当量的联硼酸新戊二醇酯联用的不对称还原偶联策略

  此项工作由周明康、李凯迪、陈栋萍、许容华等人共同完成。上述工作得到了国家自然科学基金委、中国科学院战略性先导科技专项(B类)、上海市科委、中国科学院和生命有机化学国家重点实验室的大力资助。

分享到: