Chinese Research Team and International Collaborators Make Progress in Quantum Many-Body Dynamics
Supported by the National Natural Science Foundation of China (Grant No. 12375021) and other funding sources, Professor Lei Ying’s team at Zhejiang University, in collaboration with the cold atom group at the University of Innsbruck in Austria, has achieved significant progress in the study of many-body quantum dynamics. The team has experimentally observed many-body dynamical localization (MBDL), showing that strongly interacting quantum systems under periodic driving do not necessarily thermalize or fall into chaos. Instead, these system can maintain a stable phase characterized by frozen momentum distributions and saturated energy entropy. The findings, published as “Observation of many-body dynamical localization” in Science on August 14, 2025, are available at https://doi.org/10.1126/science.adn8625.
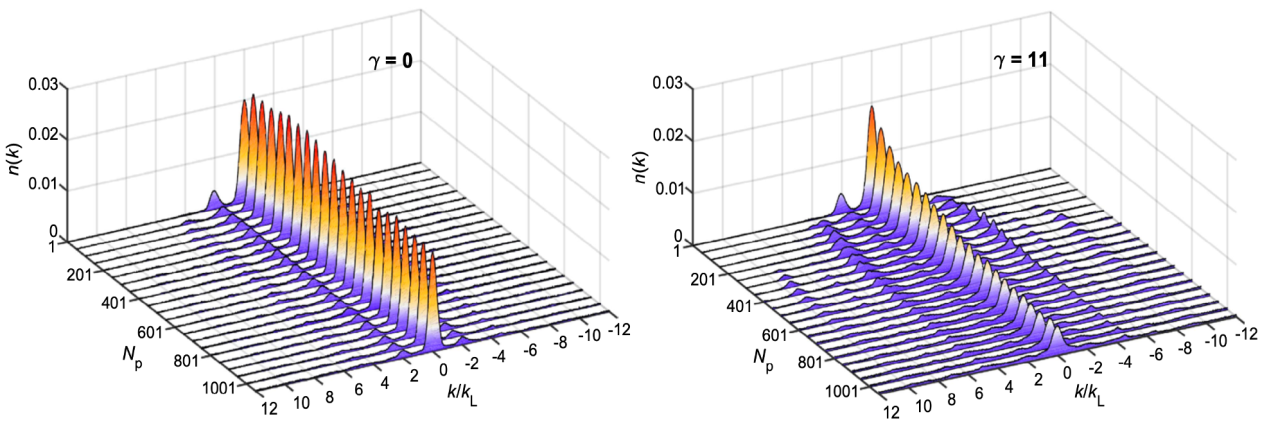
The quantum kicked rotor is a paradigmatic model for studying chaos and localization. Its original version has been shown to exhibit dynamical localization in momentum space. Conventional wisdom, however, holds that the inclusion of many-body interactions destroys this localization, driving the system toward thermalization. To challenge this view, the research team developed a quantum kicked rotor platform using one-dimensional strongly correlated ultracold cesium gases with tunable interactions, covering regimes from non-interacting to strongly interacting limits. After hundreds of periodic kicks, the system’s momentum distribution was observed to freeze, while both kinetic energy and information entropy reached saturation, as illustrated in the experiments. On the theoretical side, the team employed a one-dimensional kicked model with time-dependent Hamiltonians and numerical simulations, comparing the results directly with experimental data. Their analysis revealed that the combined effect of quantum coherence and strong interactions prevents the breakdown of localization, providing unambiguous evidence of many-body dynamical localization.
This work offers a new perspective on the boundary between quantum chaos, thermalization, and non-equilibrium dynamics. It also provides a new approach for further exploring many-body coherent control in frontier areas such as quantum simulation, quantum information, and precision measurement.

Figure. Evolution of the momentum distribution over kick number for a non-interacting case (left) and a strongly interacting case (right).
Contact Us
National Natural Science Foundation of China
Add: 83 Shuangqing Rd., Haidian District, Beijing, China
Postcode: 100085
Tel: 86-10-62327001
Fax: 86-10-62327004
E-mail: bic@nsfc.gov.cn