World Record of 64T Pulsed Magnetic Field with Flattop achieved at the Wuhan National High Magnetic Field Center

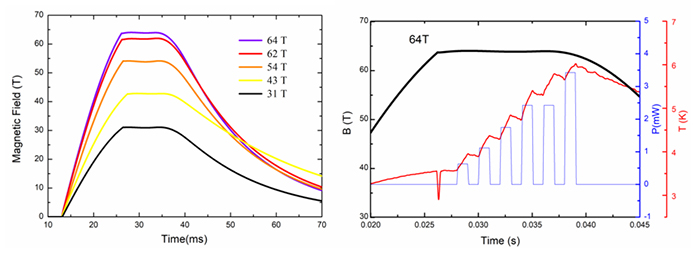
Fig. 1 Field waveform of the 64T pulse with flattop (black curve), time dependence of the sample temperature (red) and the heat-pulse power (blue) for the specific heat measurement of CeRhIn5

Fig. 2 Prof. Liang Li’s group was doing the experiment
Recently, Prof. Liang Li’s team (supported by NSFC grants 51821005, 51677079, 51177062, 50888002) at the Wuhan National High Magnetic Field Center, Huazhong University of Science and Technology has made significant progress in the generation of pulsed magnetic field. Field up to 64 T with 10 ms flattop and variation less than 0.3% has been achieved. The 64 T peak filed set a new world record of pulsed magnet field with flattop. The previous record was set by the Americans with 60 T. The breakthrough provides strong support to the fundamental research in physics, chemistry and material science.
Pulsed magnets have become useful tools for modern scientific research. Besides the increased field strength, the pulse shape and the stability are crucial to experiments such as specific heat measurement and nuclear magnetic resonance. The pulsed magnetic field with flattop has high magnetic intensity as well as high stability. Therefore, different methods were developed. The methods used in other pulsed field labs have the drawbacks of huge magnet volume, slow magnet cooling speed and big noises produced by the rectifiers.
With the motivation to build a flat-top system in a simple and economical way, an innovative approach to generate flat-top magnetic fields with capacitor banks was proposed by Liang Li’s group. The system consists of two discharge circuits (the magnet circuit and the auxiliary circuit) which are coupled by a pulse transformer. The ElectroMotive Force (EMF) induced via the transformer in the magnet circuit containing the magnet coil is opposed to the EMF of the capacitor bank. At a certain point before the current pulse in the coil reaches its peak, the auxiliary circuit is triggered. With optimized parameters for charging voltage and trigger delay, the current in the magnet circuit can be kept constant to obtain a flat-top magnetic field. The specific heat measurement of sample CeRhIn5 has been carried out. The realization of the flattop magnetic field makes it possible to study the NMR, specific heat and Raman spectra under higher magnetic field, which can only be carried out under static magnetic field before.
Benefited from the flexible configuration of the power supplies, pulsed magnet and the measurement stations, a series of different waveforms were produced with the same magnet at the same measurement station. The diversification of the field waveforms and the repeated rate produced with one magnet in one measurement station enhances the capability and efficiency of the pulsed magnetic field facility, as well as the possibility of research in pulsed magnetic field.
Contact Us
National Natural Science Foundation of China
Add: 83 Shuangqing Rd., Haidian District, Beijing, China
Postcode: 100085
Tel: 86-10-62327001
Fax: 86-10-62327004
E-mail: bic@nsfc.gov.cn