近日,中国农业科学院农业资源与农业区划研究所农业遥感团队解析了邻近效应对高空间分辨率热红外遥感数据的影响,从辐射传输模拟和地表温度反演两方面定量分析了邻近效应的大小,为热红外谱段的高精度辐射传输模拟与地表温度反演提供了新方法。相关研究成果在线发表在《环境遥感(Remote Sensing of Environment)》上。

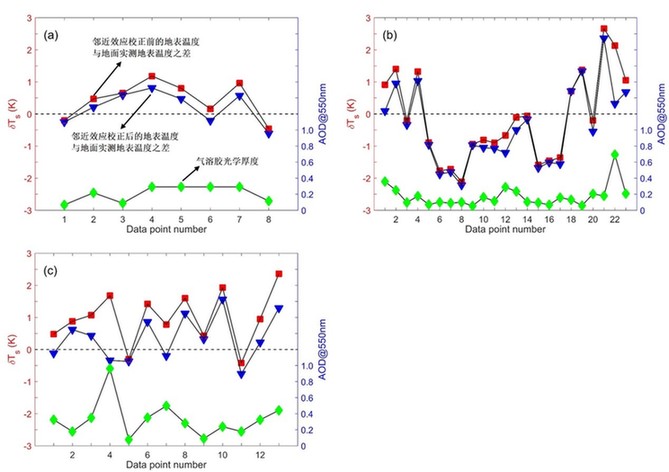
邻近效应校正前后的地表温度与地面实测地表温度之差的对比图
据农业遥感团队段四波副研究员介绍,自上世纪80年代开始,国内外学者就开展了高空间分辨率可见光遥感数据的邻近效应影响分析。邻近效应是指经过大气的散射,非目标像元对目标像元的辐射贡献。邻近效应使图像中地物的边缘变得模糊,从而导致图像的钝化和失真。为了获取高精度的地表参数,需要消除邻近效应影响。
在热红外谱段,前人的研究通常忽略邻近效应影响。常规的热辐射传输方程只考虑目标像元的热辐射贡献而忽略周围邻近像元的热辐射贡献。而农业遥感团队的研究从热辐射传输模拟和地表温度反演两方面解析了邻近效应对高空间分辨率热红外遥感数据的影响。
研究结果表明,当气溶胶光学厚度大于0.3时,需要考虑邻近效应对高空间分辨率热红外遥感数据的影响,反演的地表温度与地面实测地表温度之差的均方根误差从邻近效应校正前的1.4 K降低到邻近效应校正后的0.6 K。
据了解,农业遥感团队的研究得到国家自然科学基金创新研究群体项目资助。
原文链接:https://linkinghub.elsevier.com/retrieve/pii/S0034425720302224