< 详细页

武大吴志军团队与清华崔一飞团队在嫦娥五号月球样品工程物性研究领域取得进展

       5月31日,武汉大学土木建筑工程学院副研究员聂家岩在美国地球物理学会旗舰期刊Journal of Geophysical Research: Planets在线发表了题为“Analyzing the mechanical heterogeneity of Chang’e-5 lunar breccia clast: Implications for elastic modulus of lunar rock”的研究长文。
        武汉大学土木建筑工程学院教授吴志军和清华大学副教授崔一飞为论文共同通讯作者,武汉大学土木建筑工程学院博士研究生汪斯乔、香港科技大学研究助理教授何健、清华大学助理研究员王国栋以及中国科学院地球化学研究所研究员曾小家参与研究。
图1 嫦娥五号角砾岩岩屑力学非均质性网格纳米压痕分析及贝叶斯解译
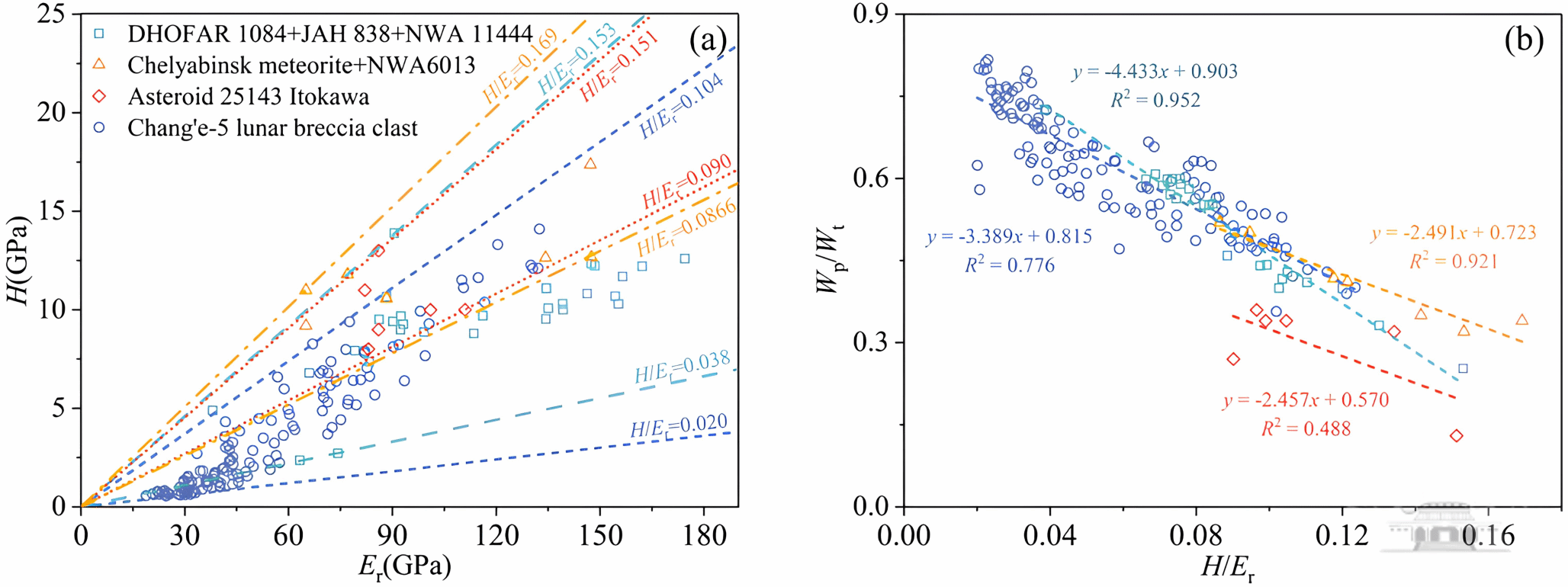
图2 月球和小行星表面物质(陨石和样品)弹塑性力学指标对比
        论文首次基于网格纳米压痕技术实现了嫦娥五号角砾岩岩屑力学非均质性的定量分析,并结合贝叶斯和有效介质理论科学评估了月岩的弹性模量(38~56 GPa),可为未来月面相关作业提供关键工程数据参考。同时对比分析了月球和小行星表面物质(陨石和样品)的弹塑性力学指标,发现月球样品和月球陨石的材料韧性更优。研究结果有助于更好地认识无大气星体表面过程(如不同规模的陨石撞击和太阳风注入等)对星体表面风化层物质工程物性的改造效应。
        据悉,吴志军课题组在2024年12月顺利获批4份嫦娥五号月球样品,为武汉大学首次获批月球样品用于开展科学研究。崔一飞课题组目前已经成功申请我国第二批 、第六批嫦娥五号月球样品和第一批嫦娥六号月球样品多份。 研究主要用于准确认识月球风化层物质的传力/传热工程物性,破解极端月面环境下(如低重力、超高真空、极端温度和强太空风化)月壤和月岩工程力学特性以及月壤熔融固化成形机理,服务未来我国月面原位建造和资源开发利用。
        该研究得到国家自然科学基金(月球与深空探测科学研究专项项目、青年项目C类)、湖北省自然科学基金、中国科协青年人才托举工程项目、武汉市知识创新专项项目等共同资助,以及中国国家航天局提供的嫦娥五号月球样品支持。
        论文链接:http://dx.doi.org/10.1029/2024JE008849