《物理评论快报》(Physical Review Letters)正式刊发了华中科技大学国家脉冲强磁场科学中心多重极端磁性团队题为“Observation of Universal Topological Magnetoelectric Switching in Multiferroic GdMn2O5”(在多铁性材料GdMn2O5中观测到普遍的拓扑磁电开关效应)的合作研究论文。该成果是依托学校脉冲强磁场设施磁特性实验平台,由物理学院陆成亮教授,中心王俊峰研究员、李亮教授,以及东南大学董帅教授带领的联合研究团队取得的最新研究进展。华中科技大学为论文第一完成单位,陆成亮教授、王俊峰研究员和董帅教授为论文共同通讯作者,中心博士后王好文和东南大学博士生王凡为论文共同第一作者。中心博士后常钰婷、杨明副教授等参与了实验测量和数据分析的工作。

磁电研究迄今已有60多年历史,其进程大致分为两个阶段:前50年以线性磁电耦合为主,近20年集中在高阶磁电方面,特别是微观机制研究成果突出。在此过程中,拓扑物理飞速发展,与许多研究方向交叉并取得了系列显著成果,例如拓扑绝缘体、拓扑半金属、拓扑超导体、量子自旋霍尔效应、量子反常霍尔效应以及马约拉纳费米子等,但它与磁电交叉极少,仅在少数几个磁电体系中发现磁性斯格明子等。实际上,作为数学概念的拓扑对物理行为描述并不仅限于动量空间中电子、声子、光子的能带,随着拓扑和铁性系统的整合,实空间的磁、电偶极子也能够显示出拓扑织构。
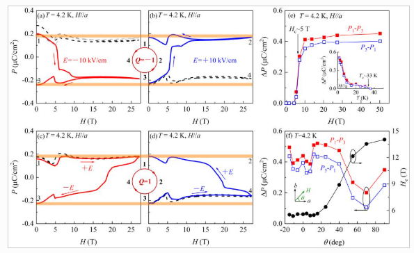
最近,拓扑物理出现在某些具有拓扑绕数行为特殊磁电过程的多铁性材料中,这将拓扑物理与磁电物理相结合,开启了磁电研究的第三个阶段。例如,用拓扑非定向罗马面来描述四重钙钛矿TbMn3Cr4O12磁诱导电极化强度的三维轨迹[Nat. Commun. 13, 2373 (2022)];在多铁性材料GdMn2O5中发现了仅由磁场驱动的拓扑保护磁电开关行为[Nature 607, 81 (2022)],具体表现为当磁场沿魔角连续扫场2次时,其中一条反铁磁链上的磁矩旋转一周,绕数为1,对应电极化反转两次,该磁电过程对应了微观自旋的拓扑绕数特征(图1)。从实际应用角度讲,拓扑磁电开关具有特定明确的轨迹,也就意味着人们能够精确控制磁、电偶极矩的状态,使它具有重要的科学研究和潜在的应用价值。然而,多铁性材料因磁相互作用会存在很多自由能极小值,导致磁电耦合翻转等具有很大的随机性,如何精确地控制磁电态是该领域的一大难题。虽然拓扑磁电开关可以解决此问题,但通常情况下它是非常特殊和脆弱的,例如上述具有罗马面拓扑磁电的TbMn3Cr4O12极其依赖磁场的旋转来拽动自旋演变,而GdMn2O5则受限于某些特殊磁场取向和温度等参量。因此,迫切需要找到一种有效途径来获得更宽工作温区、不受磁场取向限制以及适用于其他材料的拓扑磁电。
围绕于此,合作研究团队提出了一种获取拓扑保护磁电开关的新方案。首先,对GdMn2O5单晶中的拓扑磁电开关作进一步拓展研究,即利用电场E设计GdMn2O5的势能面,从而产生类似于仅由磁场驱动拓扑保护磁电开关的效果,其优势是可以解除相关磁电态的简并度。实验上,在H-E的作用下,GdMn2O5的能量面可以任意调整,磁场H不再需要沿着特定的方向,温度T也可持续到铁电居里温度点附近(33 K),进一步拓展了获得拓扑磁电开关的窗口。除此之外,通过理论模拟的导向,在DyMn2O5和ErMn2O5中也发现了类似于GdMn2O5的拓扑磁电开关效应,研究表明4f电子的磁矩对于降低能量势垒起到至关重要的作用。

上述研究工作得到了国家自然科学基金、中国博士后科学基金、湖北省自然科学基金、湖北省博士后创新研究岗位、强磁场学科交叉基金等项目支持。