近日,台州学院材料科学与工程学院李志刚教授团队与特拉华大学魏秉庆教授团队合作,在国际知名期刊《Advanced Materials》发表了题为“Doubling Power Conversion Efficiency of Si Solar Cells”的最新研究成果。
太阳能电池的光电转换效率(PCE),是太阳能电池的关键指标。根据Shockley–Queisser(S-Q)理论,单节太阳能电池的PCE被限制在33%以内,有超过50%的能量以热损耗的形式浪费掉,进而限制了电池PCE的提升。如何克服S-Q理论极限,大幅度提升太阳能电池的PCE,是学术界目前面临的难题之一。大量研究通过降低温度抑制热损耗来提升太阳能电池的PCE,但是当温度低于150-200K时,受载流子冻析等效应影响,太阳能电池的PCE将会随着温度的降低而快速下降。
该论文通过不同的单色激光和AM1.5,系统研究了温度变化对单节单晶硅太阳能电池PCE的影响。通过对热损耗的抑制,在超低温条件下首次实现50%—60%太阳能转换效率,是室温转换效率的2.7倍,突破了传统S-Q理论极限。此外,该研究还发现光穿透深度可以有效改善载流子冻结效应,并突破性地将太阳能电池的工作温度范围拓展到10K(-263℃) 甚至更低。

图1. 样品非标测试示意图。通过抑制热损耗,n-type单节硅太阳能电池PCE首次达到了创纪录的50%-60%。此外,波长相关的光穿透深度可以有效克服载流子冻析效应,将载流子的工作温度拓展到10K。
研究成果要点一:高能光子的温度-光电特性
单色激光可以确保光生载流子具有相同的能量,为研究抑制热损耗的机制提供了理想条件。因此,研究人员利用波长为450、520、635和980纳米的激光来评估硅太阳能电池的温度-光电特性。这些激光可以分为两类:一类是高能光子,如450、520和635nm,其DE(光子能量减去硅带隙)分别为1.64, 1.26和0.83电子伏;另一类是低能光子,如980nm其DE为0.15电子伏。高能光子以520nm为例,进行重点说明。

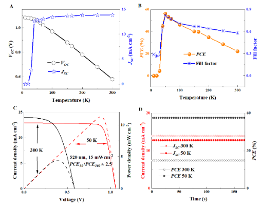
图2. 520 nm光波长温度相关光电特性。(A)开路电压(VOC)和 短路电流(JSC), (B)填充因子(FF)和PCE. (C) 室温和50K(最大PCE温度附近)是I-V/P-V曲线对比, (D)样品稳定性测试。
从图2(A)中可以看到,随着温度的降低,Voc近似线性增加,直到其逼近硅的带隙Eg, 而Jsc在50K以上,变化不大。高能光子室温和低温下,样品的PCE相差约2.5倍(图2C),图2(D)显示,样品的稳定性非常好。
研究成果要点二:高能光子热损耗满足声学波
实验测量了520nm光照下样品的磁电阻和霍尔电阻,并用双带模型拟合了样品的载流子迁移率和浓度,见图3(A)。图3(A)中显示,在50K以上,载流子浓度和迁移率随温度变化较为缓慢;50K以下,载流子浓度和迁移率随温度变化较为陡峭。

图3. 520 nm光照下,样品的迁移率和载流子浓度随温度变化情况(A), 载流子迁移率和温度关系(B)。
图3(B)结果表明,在温度50-300K范围内,样品光照下载流子的迁移率近似正比于T-3/2,这意味着光照下硅载流子的迁移率满足声学波模型。根据德拜-爱因斯坦模型,载流子的声子数满足N=[exp(ℏϖ/kBT)-1]-1 (kB为布尔兹曼常数)。低温下,声子数N随温度降低,近似呈指数减小。
这将意味着,传统太阳能电池理论中,电子吸收高能光子后形成的热电子空穴对,通过释放大量声子而迅速冷却到导带底和价带顶的过程,在低温下由于缺乏足够的声子容纳空间,而不再适用,新的太阳能理论亟需探索!
研究成果要点三:低能光子和AM1.5
为了与高能光子对比,低能光子和AM1.5的光电子特性也被表征,见图4。

图4. 980 nm和AM1.5温度相关的光学特性。(A) 不同光波PCE随温度变化, (B)典型的JSC随温度变化。
图4(A)显示980nm的PCE曲线存在两个峰值,其中第一个峰值对应样品电导率最大值,第二个峰值对应低温热损耗被抑制的结果。AM1.5表明,当温度位于50-150K时,样品的PCE随温度降低而下降,与文献报道一致。而在30K时,其PCE可达51%,约比同温度下S-Q理论极限的PCE(42.4%)高20%。
图4(B)显示样品的JSC在接近最大PCE温度点附近时,会迅速的增强。如980nm的JSC从50K时的4.1mAcm-2增加到10.4mAcm-2,增加了约2.5倍。高能光子也存在类似变化,但在最大PCE温度点附近不明显,而是存在于一个较宽的温度范围,见图4(B)。这种电流(或外量子效率)的反常增加,对低温下样品PCE突破了传统S-Q理论极限,起到了关键作用。具体机理还有待于进一步完善。
研究成果要点四:克服低温载流子冻析效应
所谓载流子冻析效应,即低温下部分载流子会被冻析在能级上,对导电没有贡献,温度越低效果越显著。该效应会导致低温下太阳能电池的PCE,由于缺少足够的传导载流子而迅速下降,导致电池无法工作。本实验研究表明,该效应仅能影响杂质或缺陷产生的载流子,而光电效应产生的光生载流子不受该效应的影响。

图5. 低温下载流子冻析效应。(A)光穿透深度与PCE之间关系,(B) 光生载流子浓度变化示意图。
光生载流子的浓度与变化与光的穿透深度有关,图5(A)显示不同光波长的穿透深度,以及光穿透深度变化对样品PCE(10K)以及最大PCE对应温度的影响。图5(B)是光生载流子的浓度变化示意图:图中太阳能硅片从上到下可分为很多层,每一层都会产生浓度不同的光生载流子,最底层的浓度最小。此时,太阳能电池的最大电流密度就由最底层所能容纳的最大电流密度决定。因此,研究团队通过改变光的穿透深度或光强,可以有效的改变太阳能电池的JSC, 进而调控它的PCE,使得太阳能电池可以在低温下应用。将太阳能电池工作温度拓展到极低温(10K), 对太阳能电池在外太空或星球上的应用,提供了巨大的便利。
该研究得到了国家自然科学基金项目(No. 52371197, 51671139)和浙江省自然基金(No. LY21F050001)经费支持。
文章链接:
Doubling Power Conversion Efficiency of Si Solar Cells. Adv. Mater. 2024, 2405724.