10月19日,《光:科学与应用》(Light:Science&Applications)在线发表光电信息学院陈云天副教授课题组研究成果“Hidden-symmetry-enforced nexus points of nodal lines in layer-stacked dielectric photonic crystals”。光电信息学院博士生熊仲非和香港科技大学物理学院张若洋博士为本文共同第一作者,陈云天副教授和香港科技大学陈子亭教授为通讯作者。合作者包括武汉大学余睿教授。
该研究工作揭示了一种隐藏于麦克斯韦方程组中光学系统特有的对称性,发现了一种由隐藏对称性保护的全新的三重简并点(称为拓扑节线连结点),及该频点出新奇的光学现象。

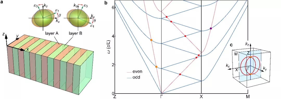
图1 各向异性层堆叠式的光子晶体及其能带
论文设计了一个由各向异性电介质板堆叠而成的光子晶体结构来展示这种隐藏对称性及其对能带的影响,光子晶体周期性来源于同种各向异性电介质的光轴周期性旋转(图1)。本文的研究发现由于介电张量的各个分量可以具有比光子晶体元胞更小的周期(原胞周期的分数),导致该系统具有一个超出空间群的广义的分数螺旋对称性。这个隐藏对称性与时间反演对称性一起保证了除最低两条能带之外的所有能带都沿着kz轴(ΓZ)方向具有二重简并,进而构成一类横贯kz轴的新型拓扑节线(称之为“类Kramers”拓扑节线)。由于隐藏对称性的存在,可证明了光子晶体具有比空间群对称条件约束下更高的能带连通性。考虑到电介质光子晶体的最低一对能带必定经过光锥原点(ω=|k|=0),可证明最低阶的类Kramers拓扑节线一定和另外两条受镜面对称保护的拓扑节线环相交于一对三重简并点(图2),称为拓扑节线连结点(nexus point)。类比实空间中的电磁场,贝里曲率通量(Berry flux)可看作动量空间中的磁通量,而外尔点作为贝里磁通量的辐射源对应于实空间中的狄拉克磁单极子。在本文研究的系统中,所有的贝里曲率磁通量都被束缚在拓扑节线上,所以拓扑节线可认为是动量空间中的“宇宙弦”,而节线连结点作为“宇宙弦”的交汇点构成了动量空间中一类有别于外尔点的新型磁单极子。如图3所示,能带在三重简并连结点附近呈现出不同寻常的各向异性色散特征。在ky=0截面上三个能带沿着拓扑节线线性交叉,在kx=0截面上能带结构类似于II型三重简并点。而在kz固定的截面上能带由一对圆锥和一条平带相交形成由二维自旋1哈密顿量描述的二维各向异性类狄拉克锥,在等频率面内也表现出相似的类狄拉克锥色散特征。打破隐藏对称性会导致沿着类Kramers拓扑节线的二重简并打开,节线连结点随之消失,而原先相交的一对拓扑节线环分离为一上一下两条独立的节线环,根据节线附近不同的能带色散,上面一条称为第二类拓扑节线环,下面一条为第三类拓扑节线环。

图2 隐藏的1/4螺旋对称性对能带连通性的影响
当光束入射到普通二重简并拓扑节线上时,如光线沿双轴晶体光轴方向入射,会发生经典的圆锥衍射现象,这种衍射效应可由二维的自旋1/2狄拉克方程解释。相比之下,三重简并节线连结点对光的衍射效应呈现出明显不同,由于该频点附近的等频率面形成一个自旋为1的类狄拉克锥,单色光在该点上的动力学可由二维自旋1哈密顿量描述,其中z轴可等效为时间轴,这导致此处入射的光波会经历特殊的自旋1圆锥衍射(图3)。该频点的色散特征导致衍射光束会分成圆锥状衍射环和一束沿z方向笔直传播的两部分光束。
更有趣的是,如果入射光的初始状态是一个spin-1角动量本征态,光束在衍射过程中会发生自旋量子数跃迁,而跃迁前后的自旋角动量之差会转化为衍射环的轨道角动量。当将出射波投影到不同的自旋1本征态上时,会观察到环绕衍射环的光涡旋,光涡旋的拓扑荷由初末态自旋量子数之差决定,因此可取值0,±1和±2。这个效应表明了该三重节线连结点为研究二维自旋1动力学提供了一个新途径。

图3 三重简并连结点附近的能带结构

图4 三重简并连结点处的自旋1圆锥衍射效应
本文研究了一种受麦克斯韦方程隐藏对称性保护的新型光学三重简并态,也为拓扑能带简并方面的研究带来一些思考和启发。一方面,文中所揭示的隐藏对称性源于介电张量中不同分量的分数周期性,该性质反映了光子晶体的几何属性,不被传统的空间群所涵盖。因此发展包含这种隐藏对称性的广义空间群理论对研究光子系统具有重要意义。另一方面,该工作使用的光子晶体结构由单一的各向异性介电材料组成,但其能带特性完全来自于材料内部光轴的非平凡周期旋转。目前对各向异性介质光子晶体的能带拓扑性质的研究还很少,该研究结果表明,材料的內禀各向异性具有结构各向异性不可替代的特征,因此各向异性介质,如液晶等,为实现电磁场特有拓扑效应提供了新的平台。
论文链接: