北航新闻网7月30日电(通讯员 蔡红艳)量子多临界行为是量子相变中基本且核心的概念。在量子多临界点处,多个原本性质不同的相变得不可区分,同时会出现截然不同的临界行为。通过对它的研究,人们发现了许多独特的临界现象与新奇的量子普适类。这些研究在相当程度上推进了人们对量子相变的认识。虽然多临界行为具有相当的独特性与重要性,但是在它的实验实现和观测上人们遇到了巨大的困难。对于临界点附近的普适行为,实验上的研究面临着更大的困难。为了观测到多临界现象的普适行为,系统需要被增大到足够的尺寸,并且同时保持良好的可操控性以及噪音环境下的可靠性,而这在实验上是非常困难甚至不可行的。由于这些困难,对于多临界行为的核心——普适类及相关的临界行为,目前实验上仍然无法观测。
最近,我校物理学院博士生朱汉杰在张国锋教授的指导下,与中国科学院物理研究所刘伍明研究员开展合作,把多临界现象扩展到了有限组分的系统中,研究了如何在噪音环境下探测多临界点处的普适行为。通过引入交错的原子偏置结构,Dicke模型中能够出现有限系统的多临界行为,且其多临界点可以通过一系列的多临界普适类描述。进一步的,一个能够实现有限尺寸多临界现象的基于离子阱体系的实验方案被提出,且在实验参数允许的范围内多临界现象能够出现。在考虑环境噪音的情况下,研究结果展现了揭示多临界点处的普适类的可能。为研究多临界行为提供了新的线索。相关工作于7月28日发表在《物理评论快报》上,博士生朱汉杰为第一作者,张国锋为通讯作者。
这项工作得到国家自然科学基金面上项目、重大仪器专项、创新群体、科技部重点研发、中科院先导项目等基金的大力支持。

图1:能够出现有限组分多临界现象的量子比特-光场系统

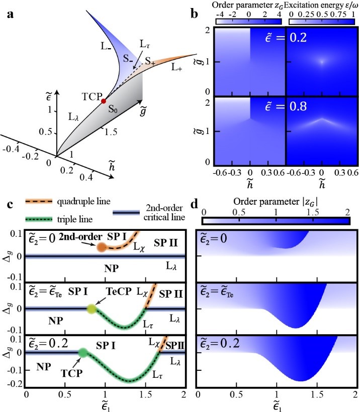
图2:系统的相图(a、c)与相应的序参量(b、d)

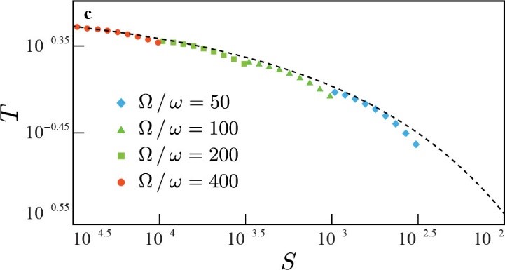
图3:噪音环境下对多临界普适行为的观测(数值模拟结果)
文章链接:https://journals.aps.org/prl/pdf/10.1103/PhysRevLett.125.050402
(审核:李广超)