阿尔茨海默病(AD)在发生症状前15~20年内已经发生了脑内的Aβ和Tau的病理生理变化,如果能够在症状出现前及时发现其病理生理变化,并采取相应干预措施,对于降低AD发病率与患病率至关重要。目前外周标志物的研究成为了AD领域的热点问题。外周标志物的研究大多集中在脑脊液中Aβ和Tau的研究,因有创不宜广泛开展。外周血作为AD诊断标志物,创伤小,易取样,适宜广泛开展,但敏感性较低。如何在外周血中找到更敏感的标志物成为亟待解决的重点难题。
2019年8月,宣武医院贾建平教授团队在《Alzheimer’s & Dementia》(IF:14.423)杂志上在线发表了题为“Concordance between the Assessment of Aβ42, T-tau, and P-T181-tau in Peripheral Blood Neuronal-derived Exosomes and Cerebrospinal Fluid”的论文,在外周血中找到了等同于脑脊液诊断AD效力的生物标志物,解决了这一难题,将会对AD的诊断模式产生重要影响。首都医科大学宣武医院神经疾病高创中心、神经科内贾龙飞为第一作者,贾建平教授为通讯作者。

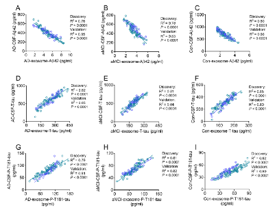
研究的第一阶段为发现阶段,纳入了北京地区的受试者,第二阶段为验证阶段,纳入了贵州、山东、河南、吉林、内蒙古、广西和河北省的受试者。研究需要对同一受试者的外周血和脑脊液进行系统观察与对比,给研究带了巨大挑战和困难。研究利用Western Blot、ELASA、免疫共沉淀和透射电镜等实验做了详尽的生物学验证。结果显示,在外周血神经源性外泌体中,AD患者与轻度认知障碍患者(MCI)和对照相比,Aβ42,T-tau和P-tau水平均具有显著差异,能够清楚对三者进行区分(图1)。对外周血神经源性外泌体和脑脊液生物标志物之间的相关性分析,发现神经源性外泌体中Aβ42,T-tau和P-tau的水平与其在脑脊液中的水平高度相关(图2),表明外泌体生物标志物可能反映了大脑的病理生理变化,等同于脑脊液的诊断效力,可用于诊断AD。

图1 外泌体中的Aβ42,T-tau和P -tau在对照组,MCI和AD中有明显差异

图2 外泌体中的Aβ,T-tau和P-tau与脑脊液中相应蛋白的水平高度相关
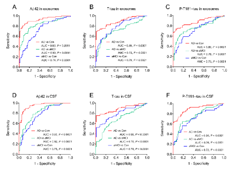
该研究还计算了外泌体和脑脊液中Aβ42,T-tau和P -tau的受试者工作曲线(ROC),结果显示出显著高的曲线下面积(AUC)。通过分析比较AD /轻度认知障碍的AUC,发现外周血神经源性外泌体和脑脊液中的Aβ42,T-tau和P-tau是诊断疾病的有力依据(AUC和P值如图3所示)。DeLong测试,发现神经源性外泌体中的Aβ42,T-tau和P -tau具有与脑脊液中的对应物相同的诊断能力(图4),为AD诊断提供了新方法。之后,通过逻辑回归分析评估三种复合生物标志物,并通过ROC曲线分析进行比较,联合Aβ42,T-tau和P–tau建立了AD诊断模型。

图3 外泌体中的Aβ,T-tau和P-tau可以很好地区分对照组,MCI和AD

图4 外泌体与脑脊液中的Aβ42,T-tau和P –tau AUC值的比较
本研究在国际上首次比较了同一患者个体血液和脑脊液外周标志物的诊断效力,发现外周血中外泌体的生物标志物诊断效力在AD诊断方面等同于脑脊液,在AD外周标志物诊断方面发出了中国人的声音,报道了中国人的研究成果。这一成果在国际AD业界最有影响力的杂志发表,为AD临床症状出现前精准干预方案的制定提供了重要依据。
本课题受国家自然科学基金重点项目(81530036)、重大科研仪器研制项目(31627803)等项目资助。

贾建平,北京学者,教授,主任医师。首都医科大学宣武医院神经疾病高创中心主任、首都医科大学神经病学系主任、北京脑重大疾病研究院阿尔茨海默病研究所所长等。担任中华医学会神经病学分会名誉主任委员、中国医师协会神经内科分会前任会长、北京医学会神经病学分会主任委员、中华医学会神经病学分会痴呆与认知障碍学组组长、中国医师协会神经内科医师分会认知障碍疾病专业委员会主任委员。主要从事阿尔茨海默病遗传机制研究以及国内外新药临床试验,入选北京学者;2013年作为第一完成人获国家科学技术进步奖二等奖,并获其他省部级奖16项;先后主持并参与国家及省部级课题30余项;主编我国统编教材《神经病学》第6版、第7版、第8版;发表SCI论文210篇,中文核心期刊学术论文600余篇。