近日,中科院武汉物理与数学研究所江开军研究员团队实现了超冷原子的自旋-轨道角动量耦合效应,首次从实验上获得了该耦合体系的基态相图,研究成果发表在美国《物理评论快报》上(Phys. Rev. Lett. 122, 110402 (2019))。该工作是和青岛大学、美国莱斯大学以及澳大利亚斯威本科技大学的科研人员一起合作完成。
粒子的内部自旋和外部轨道运动(线动量或者轨道角动量)之间的耦合在原子、光子和固体材料等体系中普遍存在,是大家普遍关注而没有解决的物理问题,而具有高度可操控性的超冷原子可以用来研究这种耦合效应。在超冷原子研究的前十年间,国际上已经实现了自旋-线动量耦合,并且揭示了很多新奇的量子效应,但是自旋-轨道角动量耦合效应在实验上还没有研究。在自旋-线动量耦合中,光的线动量在拉曼跃迁过程中相干地转移给原子,体系具有空间平移对称性,并且动量的连续性导致能谱也是连续的。在自旋-轨道角动量耦合中,光的轨道角动量在拉曼跃迁过程中相干地转移给原子,体系具有旋转对称性,并且轨道角动量的分立性导致能谱也是分立的,所以自旋-轨道角动量耦合展现出完全不同的量子特性。
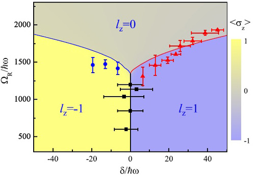
江开军团队研究人员在球形光阱中制备了铷原子玻色凝聚体,利用一对高斯光和拉盖儿-高斯光诱导原子两个内态之间的拉曼跃迁,将拉盖儿-高斯光的轨道角动量相干地转移给玻色凝聚体,实现了超冷原子的自旋-轨道角动量耦合,首次从实验上获得该耦合体系的基态相图,证明相变是一阶相变,观察到一阶相变伴随的磁滞回线效应,并且观察到原子相互作用对相变的影响。该工作为研究超冷原子体系的相变、非平衡动力学行为提供了新的途径。
该研究得到了科技部重点研发计划、国家自然科学基金委以及中科院仪器项目和先导专项的资助。
附:论文链接

自旋-轨道角动量耦合体系的基态相图