< 详细页

物理所首次在单分子磁体中观察到磁介电效应

  单分子磁体(single-molecule magnet)是由分立的、无磁性相互作用的纳米尺寸分子单元构成的一类特殊磁体,每个分子都是一个独立的磁性功能单元,其在高温下表现为超顺磁性,在低温下出现磁滞和磁化量子隧穿行为。单分子磁体有望作为信息存储单元,用于实现超高密度信息存储。同时,对单分子磁体的磁化量子隧穿效应的研究也有利于揭示量子力学行为是如何在宏观尺度上起作用,并可能应用于量子计算。自1993 年发现第一个单分子磁体Mn12以来,人们已经合成出大量基于过渡金属磁性离子和稀土磁性离子的单分子磁体,并对其磁性开展了深入的研究。然而,对于单分子磁体的电学性质的研究还鲜有报道。近期,中国科学院物理研究所/北京凝聚态物理国家研究中心磁学国家重点实验室孙阳研究员指导博士生马怡妮娜与南开大学化学系王玉霞博士、师唯教授、程鹏教授等合作,研究了单分子磁体的介电性质,首次在一种含稀土离子Dy的单分子磁体中,观察到显著的磁介电效应。
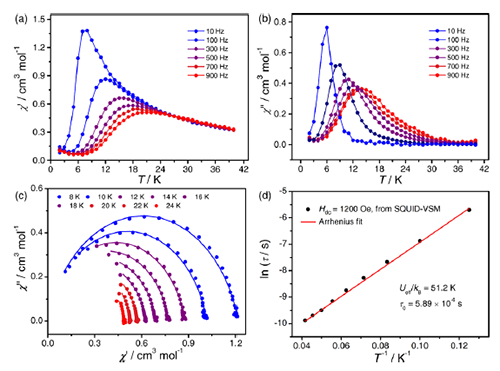
  南开大学王玉霞博士等利用溶液缓慢蒸发法合成出一种[Dy(L)2(C2H5OH)Cl3]·C2H5OH单分子磁体单晶样品,尺寸可以达到毫米量级,为电学测量打下了基础。在该晶体中,强自旋-轨道耦合的Dy离子处于轻微畸变的八面体配位场中,具有单轴各向异性,有利于形成单分子磁体。通过交流磁化率和直流磁化强度的测量,确定了该单分子磁体的低温磁性弛豫行为和磁各向异性。在此基础上,博士生马怡妮娜利用孙阳研究组自主研制的多功能磁电耦合测量系统,仔细测量了该单分子磁体不同晶向的介电常数随温度和磁场的变化。在低温下(2—40 K),其介电常数随磁场增加而上升,到8 T磁场时依然没有饱和,表现出显著的磁介电效应。该效应被认为是来源于高自旋态的三价Dy离子具有较强的自旋-晶格耦合,外加磁场导致局域晶格的收缩,进而产生电容的变化。这是首次在单分子磁体中观察到磁介电/磁电容效应,预示着在单分子磁体中也有望实现本征磁电耦合效应。未来,研究者将通过结构设计,尝试在单分子磁体中通过打破空间反演对称引入铁电极化,从而进一步增强单分子磁体中的磁电耦合效应,最终实现电场对单分子磁体磁性的调控。
  以上研究结果已发表于J. Am. Chem. Soc. 140, 7795?7798 (2018)。博士生马怡妮娜为论文的共同第一作者,孙阳研究员为论文的共同通讯作者。该工作得到了国家自然科学基金重点项目(11534015)的支持。
  文章链接:https://pubs.acs.org/doi/10.1021/jacs.8b04818

图1. [Dy(L)2(C2H5OH)Cl3]·C2H5OH单分子磁体的晶体结构。
图2. Dy-基单分子磁体的交流磁化率。
图3. Dy-基单分子磁体的磁化曲线和磁介电效应。