近日,中国科学技术大学高能物理理论组王群教授领导的研究团队在矢量介子自旋物理方面取得重要进展。
美国布鲁克海文国家实验室的STAR国际合作组(中国科大高能核物理实验组是STAR成员)发现在金核与金核碰撞中产生的ϕ介子在反应面的法向有显著的自旋排列,这是继STAR国际合作组成功测量到超子极化效应后在高能核自旋物理方面取得的另一个重大成果,今年早些时候发表于Nature [1]。实验结果与很多传统的理论模型预言不符合,引起了学界的广泛关注。
王群教授提出的理论模型指出,ϕ矢量场的局域涨落或关联是产生ϕ介子自旋排列的主要因素,不同碰撞能量下涨落的强度可以从实验结果中提取,由此计算得出的自旋排列对横向动量的依赖与实验结果吻合。该研究成果以“Spin Alignment of Vector Mesons in Heavy-Ion Collisions”为题发表在《物理评论快报》上,王群教授为通讯作者[2]。
王群教授领导的研究组早在2019年就提出[3],奇异夸克与反奇异夸克会感受到的环境矢量场的影响并导致ϕ介子的自旋排列明显偏离1/3。在最新的工作中,他们由Kadanoff-Baym方程推导得出了矢量介子的相对论自旋玻尔兹曼方程,由此建立了在强子化过程中ϕ介子的自旋排列与其组分奇异夸克、反奇异夸克的自旋极化之间的联系。在重离子碰撞中,ϕ矢量场存在很强的随机涨落,而在奇异夸克、反夸克组合形成ϕ介子的瞬间,它们受到所在位置处的矢量场的影响而产生自旋极化,进而使ϕ介子的自旋排列偏离1/3。理论结果显示,在介子静止系中,沿测量方向的矢量场涨落与垂直于测量方向涨落之间的差异,决定了自旋排列偏离1/3的程度。在本研究工作中,他们考虑到夸克胶子等离子体横向(垂直于束流方向)与纵向(沿着束流方向)的不对称性,选取了矢量场的横向涨落与纵向涨落作为模型的两个参数。不同碰撞能量下,两个参数的值由反应面法向以及碰撞参数方向的自旋排列的实验结果确定。使用这两个参数值可以很好地解释自旋排列对ϕ介子横向动量的依赖。同时,他们还对自旋排列对ϕ介子动量方位角的依赖进行了预测,有待实验验证。
矢量场是奇异夸克之间的强相互作用的一种有效表述。在相对论重离子碰撞的强子化阶段,手征对称性自发破缺,强相互作用物质可由夸克以及环绕着夸克的SU(3)戈德斯通玻色子场描述。矢量场由戈德斯通玻色子场的梯度度决定,其中与奇异夸克和反奇异夸克耦合的矢量场叫做ϕ矢量场。矢量介子自旋取向的研究将有助于人们更深入的理解QGP强子化时强子自旋的形成机制。该研究将进一步推动高能核自旋物理的发展并成为重离子碰撞物理的一个新的前沿方向。
该工作的第一作者为盛欣力博士(2020年于中国科学技术大学获得博士学位,现在是意大利国家核物理实验室的博士后研究员)。研究工作得到了国家自然科学基金和中国科学院战略先导科技专项的支持。

图1.不同碰撞能量的金核与金核碰撞中,ϕ介子自旋排列的实验测量结果(图a)以及提取得到的ϕ矢量场横向与纵向涨落的强度(图b)。

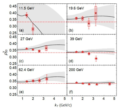
图2.ϕ介子自旋排列对横向动量的依赖,红色五角星为实验测量结果,黑色实线以及阴影区域为模型计算得到的结果与误差范围。
参考文献:
[1]STAR Collaboration, Nature 614 (2023) 7947, 244-248.https://www.nature.com/articles/s41586-022-05557-5
[2]X.-L.Sheng,et al.,Phys. Rev. Lett. 131 (2023) 4, 042304.https://journals.aps.org/prl/abstract/10.1103/PhysRevLett.131.042304
[3]X.-L. Sheng, L. Oliva, Q. Wang, Phys. Rev. D 101 (2020)9,096005.https://journals.aps.org/prd/abstract/10.1103/PhysRevD.101.096005