近日,中国科学技术大学地球和空间科学学院吴忠庆教授课题组与美国哥伦比亚大学Renata Wentzcovitch教授课题组及美国康奈尔大学Geoffrey Abers教授合作,在俯冲带浅部地震波速各向异性成因上取得重大进展。相关成果以“Elastic Anisotropy of Lizardite at Subduction Zone Conditions”为题,发表在地球科学领域国际著名学术期刊Geophysical Research Letters上。
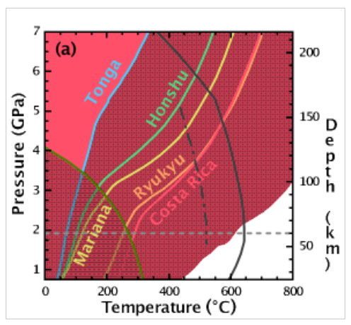
地球内部水循环是理解地球演化与动力学过程的关键。在俯冲带,水可以随着大洋板片一起俯冲进入地球深部。在海沟附近,板片弯曲变形形成大量平行于海沟的正断层,海水可以沿着断层面进入板片内部并与地幔矿物发生反应生成蛇纹石。地幔矿物的蛇纹石化通常会显著影响其地震波速、各向异性、泊松比和密度等一系列特征。利蛇纹石是俯冲带浅部温压条件下最稳定的蛇纹石矿物(图1),其含水量高达13 wt%。因此,利蛇纹石在高温高压下的弹性性质对揭示俯冲带蛇纹石化程度、含水量以及地球内部的水循环都有重要意义。

图1.利蛇纹石稳定温压范围与俯冲板片温压曲线。深绿色粗实线为利蛇纹石与叶蛇纹石+水镁石的相界,绿色阴影区域为利蛇纹石稳定域。
该课题组利用第一性原理计算方法确定了俯冲带温压条件下利蛇纹石的弹性性质,发现其具有很强的波速各向异性,其剪切波各向异性几乎是其高压相叶蛇纹石的两倍。地震学研究发现,大多数俯冲带的浅部都存在剪切波分裂且快波方向平行于海沟的现象。在一些俯冲带,如汤加与中美洲等地,其剪切波分裂的延迟时间可以达到~2s,表明这些俯冲带下方具有非常强的各向异性。如此大的延迟时间很难用橄榄石等常见地幔矿物的定向排列解释。
变形实验表明,蛇纹石可以在剪切应力下发生定向排列,其慢轴方向垂直于剪切面。因此,通过蛇纹石的地震波在垂直于剪切面的偏振方向上传播得更慢。俯冲板片中,弯曲变形形成的正断层的断层面在俯冲带浅部接近垂直。而断层中的剪切应力会使板片中的蛇纹石产生定向排列,且慢轴方向垂直于海沟。因此,俯冲板片中的蛇纹石也许可以用来解释这些俯冲带的各向异性。

图2.剪切波分裂延迟时间与对应需要的各向异性层厚度间的关系,60vol%与100vol%为假设的蛇纹石化程度。
研究分析表明,采用合理的蛇纹石化程度以及定向排列程度,要产生汤加俯冲带约1.8s的延迟时间,需要约60km厚的叶蛇纹石层(图2),这大大超过了地震学观测发现的汤加俯冲带板片中低速层的厚度。然而,同样条件下的利蛇纹石层只需要约30km厚就可以解释,这也与汤加俯冲带板片的低速层厚度一致。因此,利蛇纹石应当在俯冲带浅部广泛分布,这将对认识俯冲带的物理化学过程及地球内部水循环等方面产生重要影响。
论文第一作者为博士生邓忻,通讯作者为吴忠庆教授。合作者包括美国哥伦比亚大学Renata Wentzcovitch教授、美国康奈尔大学Geoffrey Abers教授以及美国哥伦比亚大学博士生罗晨星。中国科大为该论文第一单位。该项研究受到国家重点研发计划、国家自然科学基金项目以及中央高校基本科研业务费专项资金等项目的资助。计算工作主要在中国科大超级计算中心与合肥先进计算中心的超级计算机上进行。