
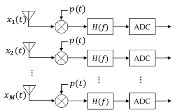
多天线压缩采样系统

不同空-时信息利用方式获得的样本协方差矩阵

近日,中国科学院沈阳自动化研究所科研团队提出了利用MIMO系统空-时信息的高感知性能的宽带频谱感知方法,并且首次给出了压缩采样系统参数与系统输出噪声的关系,相关成果于近日陆续获通信领域国际著名期刊IEEE Transactions on Vehicular Technology和IEEE ACCESS刊载。
近年来,无线通信设备及服务的大规模增长导致可用无线频谱资源的日益紧缺,宽带频谱感知为无线设备利用未被使用的频谱资源,从而增加设备和服务接入量以及提高频谱效率提供了一个可行的解决方案。此外,采样器件面临高采样率等难以突破的技术瓶颈,会导致对宽带信号采样面临样本精度低、设备高功耗大等问题。因此,研究无线通信设备的宽带频谱感知与压缩采样技术对未来无线通信具有重要意义。尽管相关研究已取得较大进展,然而宽带频谱感知技术面临低信噪比条件下感知性能差,压缩采样系统面临系统参数与其输出噪声关系未知等关键问题。
沈阳自动化所工业通信与片上系统团队针对低信噪比条件下感知性能差等问题提出了引入空间差异性的MIMO系统高性能宽带频谱感知方法,通过对空-时信息的不同利用方式得到样本协方差矩阵,进而采用子空间分解方式获取低维信号子空间以实现对频谱信号的增强式感知,该成果为实现认知无线电以及下一代无线通信中高可靠频谱感知提供了有效方法。此外,针对压缩采样系统参数与系统输出噪声关系未知等问题,团队进一步给出了压缩采样系统输出噪声的性质以及输出噪声与系统参数的关系,所得结果可用于众多基于压缩采样的应用场景中,该研究成果为推动设备实现低功耗目标奠定了理论研究基础。相关成果分别以Compressive subspace learning based wideband spectrum sensing for multiantenna cognitive radio和Property investigation on the additive white Gaussian noise after sub-Nyquist sampling为题发表学术论文。(工业控制网络与系统研究室)