8月13日,中国科学院心理研究所科研人员的一项研究成果在《分子精神病学》(Molecular Psychiatry)上发表。该项研究成果揭示了在首次发病的精神分裂症患者中,葡萄糖代谢紊乱与白质连接异常之间的交互作用及其认知功能损伤的关系。
一直以来,精神分裂症的诊断依靠的都是症状学的标准,即是否出现幻觉、妄想等阳性症状和情感淡漠等阴性症状。但越来越多的研究表明,精神分裂症患者在代谢、脑功能、认知行为等多方面也表现出异常,如糖代谢、白质(white matter, WM)连接和神经认知功能等。
中国科学院心理健康重点实验室的张向阳研究员等在Molecular Psychiatry上发表的题为Glucose disturbances, cognitive deficits and white matter abnormalities in first-episode drug-naive schizophrenia的研究报告即对这三个重要指标间的联系进行了探究。
过去研究发现精神分裂症患者伴发II型糖尿病(type 2 diabetes mellitus, T2DM)的风险显著高于常人,即使是首次发病、从未服药(first-episode drug-na?ve)的病人也是如此,这说明精神分裂症这一疾病本身与糖代谢的紊乱相关,而非受到药物的影响。由于认知衰退(cognitive impairments)在精神分裂症和II型糖尿病患者中都广泛存在,自然地,当精神分裂症患者伴发葡萄糖代谢异常时,其认知衰退也会更加严重。另外,白质连接的中断(WM disconnectivity)也被证明精神分裂症患者的症状可能与认知衰退有关,且葡萄糖代谢的紊乱也可能会影响大脑的白质发生变化。鉴于糖代谢、白质连接、认知衰退三个层次间的彼此关联较为明晰,但并未有研究综合考虑三方面的交互作用,故该研究采用首次发病的精神分裂症患者进行进一步探究。
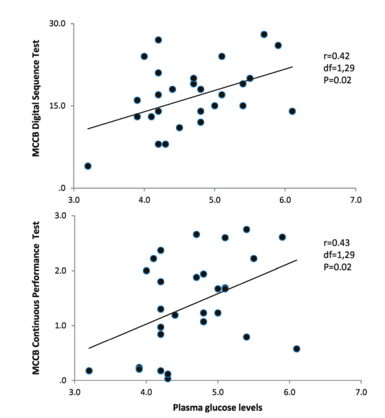
该研究发现,与正常人相比,首次发病的精神分裂症患者的空腹血糖和胰岛素水平更高、使用MCCB (MATRICS Consensus Cognitive Battery)测量出的认知表现更差,且左侧和右侧胼胝体(left and right corpus callosum)、上纵束(superior longitudinal fasciculus)、后丘脑辐射(posterior thalamic radiation)、辐射冠(corona radiata)五个脑区的白质各向异性值(fractional anisotropy, FA)普遍降低。其中,FA值是使用扩散张量成像(diffusion tensor imaging, DTI)反映白质纤维连接性的一个指标。相关分析结果证实了患者的葡萄糖水平与其在MCCB中数字序列测试(Digital Sequence Test)和持续操作测试(Continuous Performance Test)的成绩呈正相关,同时也与其后丘脑辐射和左侧胼胝体的FA值呈负相关。而多元回归分析的结果表明,葡萄糖水平和左侧胼胝体、纵束和放射冠FA值的交互作用对简短视觉记忆测试(Brief Visuospatial Memory Test)有显著贡献,而葡萄糖水平与左侧胼胝体和纵束(longitudinal fasciculus)FA值的交互作用则分别与迷宫测验(MAZES)和连线测验(Trail Making A Test)的成绩相关联。

精神分裂症患者的血浆葡萄糖水平与MCCB数字序列测试(Digital Sequence Test)和持续操作测试(Continuous Performance Test)的成绩呈正相关

精神分裂症患者(SZ)FA值显著低于正常对照组(HC)的相关脑区(A图)
精神分裂症患者的血浆葡萄糖水平与后丘脑辐射(posterior thalamic radiation)和扣带回(cingulum)的FA值分别呈现负相关(B图)
总而言之,在精神分裂症发作的早期阶段就已经发生葡萄糖代谢紊乱、认知功能损伤,以及普遍的白质结构异常,并且葡萄糖代谢紊乱与白质连接异常之间的交互作用可能是导致患者认知功能损伤的重要原因。这一发现支持了精神分裂症的神经发育假说,可为揭示精神分裂症的发病机理与认知损伤的生物学机制提供启发,并帮助我们在代谢、脑功能、认知行为等多个水平上对精神分裂症有更加整合、全面的理解。
该研究受中国科学院A类百人计划,国家自然科学基金(81371477, 61533006,U1808204, 61806042),四川省科技厅项目(2017JY0094)和中国科学院心理健康重点实验室提供资金支持。
文章信息:
Zhang, X., Yang, M., Du, X., Liao, W., Chen, D., Fan, F., . . . Chen, H. (2019). Glucose disturbances, cognitive deficits and white matter abnormalities in first-episode drug-naive schizophrenia. Molecular Psychiatry.