物理所铁磁量子临界点及其附近的超导相

日期:2019年08月08日 来源:www.iop.cas.cn 作者:系统管理员 【打印】 【关闭】

  铁磁和超导都是凝聚态物理的重要分支。早在上个世纪80年代,Appel和Fay两位理论工作者就认为,无论是在铁磁有序态里还是在顺磁态里,铁磁涨落都会导致p波自旋三重态超导的出现。这种超导态与常规的s波自旋单重态超导不同,包含更加丰富的物理。但是实验进展非常缓慢,这是因为这种新奇超导态的出现需要满足三个条件: 处于铁磁有序态附近、高晶体质量和极低的温度。目前确认的与铁磁相关的超导体非常稀少。5f电子体系的UGe2在铁磁有序态里出现超导(超导转变温度Tsc小于1K),证实了理论的预言。但是,一旦铁磁有序态被抑制,超导并没有出现。因此,人们对顺磁态铁磁涨落背景下的超导依然缺乏认识。

  不过,铁磁涨落能引起超流已经被证实。超流与超导类似,都是由费米子配对凝聚引起的。3He中存在两个超流相,即A相和B相。A相为p波ABM(Anderson-Brinkman-Morel)态, 3He原子对存在Sz = 1(↑↑)和Sz = -1(↓↓)两个成分,能隙函数中存在点状节点。B相为p波BW(Balian-Werthamer)态, 3He原子对存在Sz = 1(↑↑)、Sz = 0(1/ 2 " id="MathJax-Element-1-Frame" role="presentation" style="position: relative;" tabindex="0"> 2–√ 2 (↑↑+↓↓))Sz = -1(↓↓)三个成分,能隙是各向同性的。众多事实证明, 3He中的自旋三重态超流是由铁磁涨落引起的。近年来,人们对3He超流相有了更进一步的认识:它们是拓扑非平凡的,A相与拓扑外尔半金属类似,B相属于DⅢ拓扑类。

  最近,中国科学院物理研究所/北京凝聚态物理国家研究中心郑国庆研究组(SC9组)的博士研究生罗军与物理所任志安研究员(SC10组),石友国研究员(EX10组)等人合作,利用核四极矩共振(NQR)测量发现,可对3d巡游电子体系的顺磁铬基化合物A2Cr3As3(A =碱金属)进行调控。随着碱金属原子半径的增大,系统逐渐向铁磁量子临界点趋近。他们的研究首次给出了铁磁量子临界点(QCP)附近的超导相图。

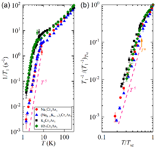
  研究团队测量了A2Cr3As3(A = Na,Na0.75K0.25, K, Rb)的自旋晶格弛豫率(1/T1)的温度依赖性,从而得到了正常态磁涨落强度和超导态能隙对称性的信息。他们发现从Na过度到Rb,铁磁涨落逐渐增强,如图1所示。即,随着碱金属半径变大,系统逐渐靠近铁磁QCP。他们发现这可归因于Cr2-As2-Cr2键角α逐渐向90°靠拢从而增强了铁磁相互作用。而当系统偏离QCP时,Tsc逐渐上升,在Na2Cr3As3处达到了8K。这种行为与反铁磁QCP处Tsc为极大值形成鲜明的对比。此外,他们还研究了超导态的性质,发现1/T1Tsc之下快速下降且没有相干峰,四个样品的1/T1在特征温度T* ≈ 0.6Tsc之下正比于T5,这说明A2Cr3As3家族的超导能隙中普遍存在点状节点。

  这些实验结果表明A2Cr3As3可能是超流3He的固态翻版。因此,这项成果架起了一座连接强关联、非常规超导以及拓扑物理三大研究领域的桥梁。

  相关研究结果已经发表在Phys. Rev. Lett. 123, 047001 (2019)。

  该工作得到国家自然科学基金(11674377,11634015,11774399),科技部(2016YFA0300502,2017YFA0302901,2017YFA0302904)以及中科院青促会的支持。

图1:A2Cr3As3体系的相图(上)、UGe2压力下的相图(中)以及铁磁QCP附近的理论相图(下)。Tsc代表超导转变温度,θ为表征磁涨落强度的物理量,是从对1/T1T数据进行拟合(1/T1T∝1/ (T +θ))得到的。θ越小,代表离铁磁QCP越近。从Na到Rb,系统逐渐向铁磁QCP靠近。

图2:(a)四个样品1/T1随温度变化。箭头代表Tsc(b)用Tsc处的数据归一化后的1/T1,箭头代表特征温度T*,低于T*时1/T1正比于T5,表明能隙中存在点状节点。

分享到: