植物叶蜡正构烷烃的分布特征(含量,碳优势指数(CPI)和平均碳链长度(ACL))及其氢同位素值(δ2Halk)越来越多地被用于古环境恢复研究。然而,到目前为止,我们仍然无法区分植物种类、温度和/或降水量等气候变化影响这些指标的程度,尤其是对占据青藏高原和喜马拉雅山高海拔处三分之一面积的高山草甸。
针对这一科学问题,中国科学院青藏高原研究所大陆碰撞与高原隆升实验室、青藏高原地球科学卓越创新中心方小敏研究员团队生物有机地化研究方向的白艳副研究员与汪诗平研究员课题组合作,依托青藏所那曲增温增平台实验样地(图1),连续采集了2015至2017三年不同增温(W;对照组、+0.25℃、+1℃、+2℃、+4℃)和增加和减少降水量(PA和PR)(PR50%、对照组、PA100%(2015)或PA50%(2017))等控制生长条件样地中七种草本植物84*3年=252个样品,测定其正构烷烃分布及δ2Halk值,开展不同植物相应指标响应W、PA和PR等对比研究,以评估植物种类、温度和降水量对这些指标变化的影响程度。

图 1. 青藏高原研究所那曲增温平台实验样地(40 m × 40 m)
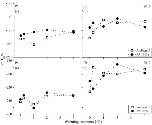
结果显示:1)正构烷烃分布在高达4°C的温度变化和增减50%降水量的变化下未表现出明显差异,说明温度和降水量不是其主控因素(图3);2)δ2Halk在增温4°C的条件下偏正高达10-30‰(图3),而植物接受降水增多未必导致δ2Halk负偏(图4);3)不同种类植物正构烷烃分布(含量变化范围为28-322 μg/g, CPI变化为7-41,ACL变化为28.6-31.6)和δ2Halk(约30-50‰;图4)的差异显著高于其对温度和降水量变化的响应,说明相对于高达4°C和增减50%降水量的气候条件变化,植物种类仍然是控制叶蜡正构烷烃分布及其δ2Halk值的主要因素。

图2. 2015年那曲增温实验平台(a)对照样地和(b)所有控制生长条件样地开顶室中七种草本植物叶蜡正构烷烃含量,及其CPI和ACL分布对比图. Pl:草地早熟禾;Sp:紫花针茅;Pb:二裂委陵菜;Ps:钉柱委陵菜;Kp:小嵩草;Kh:矮嵩草;Lg:兔耳草.

图3. 在对照降水和增加降水样地 (2015年PA 100%; 2017年PA 50%)生长的草地早熟禾(Pl;a和c)和二裂委陵菜(Pb;b和d)δ2Halk值对不同增温控制生长条件的响应

图4. 在2015年和2017年对照(a和b)和增温2°C(c和d)样地,生长的草本植物Pl、Sp、Pb、Kh和Lg的δ2Halk值分别对减水50%(黑)、正常降水量(绿)和增水(蓝)三种降水处理的响应.

图5. 在2015年(a)对照和(b)增温2°C样地,生长的草本植物Pl、Sp、Pb、Kh和Lg中δ2Halk值的差异,及其在减水50%(黑)、正常降水量(绿)和加水100%(蓝)三种降水量控制生长条件下的变化.
本研究为解释地质历史时期叶蜡正构烷烃分布和δ2Halk记录提供了重要依据,提示植被演替和温度变化等可能对δ2Halk记录产生重大影响。该研究成果于6月14日以“An evaluation of biological and climatic effects on plant n-alkane distributions and δ2Halk in a field experiment conducted in central Tibet”为题,在国际有机地化专业期刊Organic Geochemistry上在线发表(https://doi.org/10.1016/j.orggeochem.2019.06.003 )。该研究得到了中国科学院A类战略性先导科技专项“泛第三极环境变化与绿色丝绸之路建设” (XDA20070201和XDA20050101)、第二次青藏科考研究(2019QZKK0707)和国家自然科学基金(41571014,41731175和4187102)的共同资助。