中国科学技术大学科技史与科技考古系生物考古实验室与中国社会科学院考古研究所合作,利用植硅体分析法对安徽蚌埠双墩新石器时代遗址地层沉积物进行研究,证明在距今7000年前后,该地区就出现了北方黄米(黍)(Panicum miliaceum)和南方水稻(Oryza sp.)共存的现象,这是目前淮河中下游地区发现最早的稻黍共存记录。研究成果以“Phytoliths reveal the earliest interplay of rice and broomcorn millet at the Shuangdun site (ca.7.3 ka BP-6.8 ka BP) in the middle Huai River valley, China”为题,在线发表在国际考古学权威期刊Journal of Archaeological Science。该期刊是考古类国际期刊唯一被SCI、SSCI和A&HCI同时收录的期刊。论文第一作者是我校特聘副研究员罗武宏博士,通讯作者为我校杨玉璋副教授。
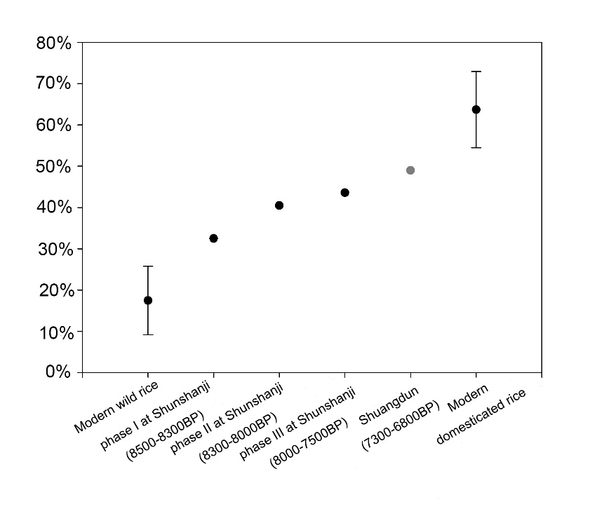
淮河流域是中国东部南北不同气候环境、农业类型与文化传统的过渡地带,其史前农业结构演化与农业经济形成过程是全新世以来中国东部地区环境变化与人类适应研究中的重要内容,长期以来一直受到国际国内研究者的重点关注。课题组利用近两年中国社会科学院考古研究所对蚌埠双墩遗址进行考古发掘的时机,通过现场取样,采集了该遗址多个地层的沉积样品进行植硅体分析。研究结果显示,在7.3ka BP-6800ka BP时期,黍与水稻已同时出现于该遗址(图1),且水稻在其农作物组成中占据了绝对的主体地位,黍的比重相对较低。这一发现将粟、黍类旱生农作物在淮河中下游地区出现的时间提前了2000多年。而植硅体形态分析则显示(图2,3),双墩遗址的水稻是处于驯化阶段的原始粳型栽培稻,但其驯化水平明显高于邻近的江苏顺山集遗址在8.5 ka BP-7.5ka BP所处水平。这一结果表明,淮河流域也是我国水稻演化的重要区域,其早期水稻可能具有独立的驯化过程。这一结果为水稻起源研究提供了新线索。

图1.双墩遗址发现的主要植硅体类型(a: 普通扇形; b:方形; c:长方形; d, e:水稻扇形; f, g:双峰乳突; h:并列排列哑铃形; i:黍稃片η形; j:光滑棒形; k: 稗属稃片β形; l: 黍锯齿/牙状雕纹; m: 垂直排列哑铃形; n: 芦苇扇形; o:刺棒形; p:导管; q, r木本植硅体; s:哑铃形; t: 齿形; u: 尖形; v: 长鞍形; w: 短鞍形; x: 帽形 标尺:20 μm)

图2.顺山集、双墩遗址鱼鳞状纹饰≥9水稻扇形植硅体的比例

图3.顺山集、双墩遗址水稻双峰乳突植硅形态判断结果
该研究得到国家重点基础研究发展规划项目、国家自然科学基金项目、教育部哲学社会科学规划项目和中国国家留学基金的共同资助。
论文链接:https://www.sciencedirect.com/science/article/pii/S0305440318301316?dgcid=author
(科技史与科技考古系、科研部)