不同于传统的金属、合金和氧化物磁体,有机磁体的磁性与合成过程密切相关。在过去的几十年中,科学家付出很多努力,尝试发展部份含有或全部由有机分子构成的有机磁体,如分子磁体、磁性有机金属框架和有机-无机杂化磁性材料。其中,结合无机结构片段和有机分子构筑的具有单晶结构特点的有机-无机杂化磁体,由于有机相与无机相界面处存在强的价键相互作用,产生了不同于组成单元的、新的性质,在磁电耦合、磁光效应中受到广泛关注。有机分子具有柔性、易加工特性,有机-无机杂化磁体可以具有特殊的应用。磁有序温度高于室温,是磁性材料能够在室温或高于室温应用的前提。然而,在有机磁体中,除了极为少数的分子磁体和磁性有机金属框架结构显示了磁有序温度接近或高于室温,文献中报道的磁性有机-无机杂化材料的磁有序温度均低于200K。
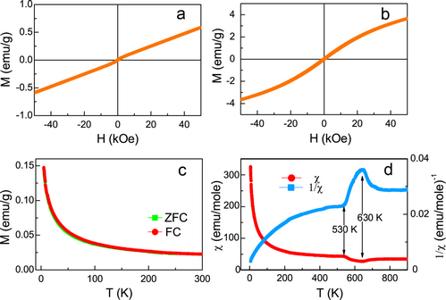
中国科学院金属研究所沈阳材料科学国家研究中心功能材料与器件研究部张志东研究员、李达研究员指导博士研究生潘德胜,在以可溶性Fe和Se为前驱体成功合成铁基β-FeSe层状超导体的基础(Chem. Mater. 2017 29(2) 842-848)上,近期又采用高温有机化学溶液法,以高沸点有机胺(三乙烯四胺,teta)为溶剂,以可溶的Fe和Se前驱体为原料,一步合成了居里温度高于530K的新型磁性有机-无机杂化材料,并阐明了其生长机制。单相(β-Fe3Se4)4[Fe(teta)1.5]杂化纳米片,由有机配体Fe(teta)1.5和无机结构单元β-Fe3Se4构建而成,具有四方晶体结构(I4cm)。(β-Fe3Se4)4[Fe(teta)1.5]杂化纳米片在温度低于530K稳定,高于530K至约700K缓慢分解。5-900K范围内的磁性测量表明,(β-Fe3Se4)4[Fe(teta)1.5]杂化纳米片低于530K无磁相变,在室温下具有亚铁磁性。(β-Fe3Se4)4[Fe(teta)1.5]杂化纳米片的居里温度不仅高于亚铁磁Fe-Se二元化合物(Fe3Se4和Fe7Se8)的居里温度,也远高于所有已报道的有序排列的有机-无机杂化材料的磁有序温度。杂化材料的磁性受到合成条件影响,在483K制备的杂化纳米片低温5K下展示出硬磁特性,矫顽力高达11kOe。
韩拯研究员、李昺研究员和杨腾副研究员在杂化材料的结构和磁性分析方面提供了重要支持。台湾国立同步辐射研究中心Chinwei Wang博士、韩国材料科学研究所Chuljin Choi教授也参与了本工作。
相关结果发表在近日出版的Chemistry of Materials (Chem. Mater. 2018 30(24) 8975-8982)杂志上。该项工作得到了国家自然科学基金和科技部重点研发项目资助。

图1 高温有机化学溶液法合成新的室温磁性有机-无机杂化材料(β-Fe3Se4)4[Fe(teta)1.5]纳米片的示意图。

图2 (a)(β-Fe3Se4)4[Fe(teta)1.5]杂化纳米片的扫描电镜和能谱分析结果,单个纳米片的(b)Fe,(c)Se,(d)C和(d)N元素分布,(f)透射电镜照片以及相应的(g)选区电子衍射结果。

图3 523K条件下合成的(β-Fe3Se4)4[Fe(teta)1.5]杂化纳米片的磁性能。(a)300K和(b)5K下测量的磁滞回线。(c)5-300K范围内零场冷(ZFC)和场冷(FC)磁化强度-温度曲线。(d)5-900 K范围内场冷磁化率(χ)和磁化率倒数(1/χ)-温度曲线。