图1. CeRh6Ge4的压力-温度相图

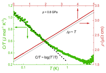
图2. 量子临界点附近的奇异金属行为
在国家自然科学基金项目(批准号:U1632275、11974306)等资助下,浙江大学袁辉球教授研究组与美国罗格斯大学及英国伦敦大学科勒曼(Coleman)教授、德国马普固体化学物理研究所尼克拉斯(Nicklas)博士合作,首次在重费米子化合物中发现铁磁量子临界点,观察到奇异金属行为。该项成果以“纯净铁磁近藤晶格中的奇异金属行为(Strange metal behavior in a pure ferromagnetic Kondo lattice)”为题,于2020年3月5日在《自然》(Nature)杂志上在线发表。文章链接:https://www.nature.com/articles/s41586-020-2052-z。
量子相变是当今凝聚态物理的一个前沿研究领域,广泛存在于不同的量子材料体系中。而磁性量子相变是研究最广泛的一类量子相变。反铁磁类型量子临界点广泛存在于重费米子体系、铜基高温超导体、铁基超导体以及有机超导体等强关联电子体系中,在临界点附近存在超导和奇异金属行为。然而,铁磁量子是否也存在临界点,尚缺乏确凿的证据。为了寻找铁磁量子临界点,揭示铁磁量子临界现象,浙江大学袁辉球教授与合作者,在探索了多种材料体系后,首次在近藤晶格材料CeRh6Ge4中发现了铁磁量子临界点存在的确凿实验证据。CeRh6Ge4具有准一维晶体结构,并在2.5K以下发生铁磁相变。为了避免元素替换引起的无序效应,该团队将压力作为调控手段。通过对极端条件下的电阻、比热、磁化率等物性测量,发现该化合物的铁磁序随着压力的增加而逐渐被抑制,当压力pc 0.8GPa时,出现了铁磁量子临界点。他们还发现,在铁磁量子临界点附近,电阻在低温极限下随温度线性变化,比热系数随温度对数发散,表现出与铜氧化合物高温超导体类似的奇异金属行为。
此项研究将铜基高温超导和反铁磁重费米子材料中观察到的奇异金属行为延伸到了铁磁体系。由于超导与量子相变常常有着非常紧密的联系,该成果也对超导的研究也有重要参考价值。