当前位置:首页 >> 基金要闻 >> 资助成果

 

    我国学者在量子线中发现强自旋-轨道耦合效应

    日期 2017-10-24   来源:信息科学部   作者:孙玲 潘庆  【 】   【打印】   【关闭

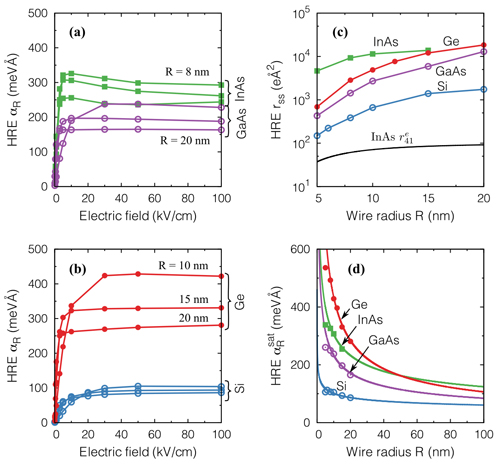
    图(a)和(b)显示硅、锗、InAs和GaAs量子线空穴Rashba效应在电场作用下的响应,(c)和(d)分别是Rashba效应的响应速度和饱和值随量子线大小的变化。

      在国家自然科学基金(项目编号:61474116)等资助下,中国科学院半导体研究所超晶格国家重点实验室骆军委研究员等在量子线中找到强自旋-轨道耦合效应。相关研究成果以“Rapid Transition of the Hole Rashba Effect from Strong Field Dependence to Saturation in Semiconductor Nanowires”(在半导体纳米线中空穴Rashba效应从强电场响应快速过渡到饱和值)为题于2017年9月21日在Physical Review Letters(《物理评论快报》)上在线发表,论文链接为https://doi.org/10.1103/PhysRevLett.119.126401。

      半导体中的自旋-轨道耦合效应是实现半导体量子信息技术的核心,为使用电场控制载流子运动从而实现自旋的生成、输运、操控和读取等基本逻辑操作提供有效途径。然而,包括硅在内的经典半导体面临着Rashba自旋-轨道耦合效应太弱,其强度远不能满足应用需要的困境。

      骆军委研究员发表的论文指出,经典半导体中Rashba自旋-轨道耦合效应太弱的问题有望在一维量子线中得以解决,并在国际上首次理论发现经典半导体量子线中的空穴Rashba自旋-轨道耦合效应对外加电场的响应异常强烈,在一个很小的外加电场作用下Rashba效应的强度从零迅速攀升到一个很大的饱和值,随后Rashba效应的强度不随电场的继续增大而发生改变。这一性质为发展超高速自旋-轨道效应量子器件奠定重要基础。