近代物理所等单位的科研人员合成百纳秒量级新核素222Np

日期:2020年08月06日 来源:近代物理所 作者: 【打印】 【关闭】

  中科院近代物理研究所等单位的科研人员近日首次发现了一种新的Np)同位素核——222Np,并验证了Np同位素核中N = 126中子满壳的稳定性。222Np是近代物理所继发现新核素219,220,223, 224Np之后,在该同位素链中发现的又一个新核素。相关成果于7月13日发表在Physical Review Letters上。

  充气反冲谱仪作为合成新核素的一类装置,产生的核素在其中飞行的时间一般约1微秒中科院近代物理所等单位的科研人员利用兰州重离子加速器的充气反冲核谱仪SHANS装置,首次合成了半衰期为380纳秒且具有α放射性的Np新同位素核222Np(N = 129,Z = 93)。这几乎达到了该类装置研究短寿命核素的极限。

  在超铅(Z > 82)的缺中子核区,α衰变是原子核的一种普遍的衰变方式。因此在该核区,α衰变谱学这一传统而强效力的方法仍然被广泛地用来鉴别新核素,研究原子核的性质及壳结构演化。

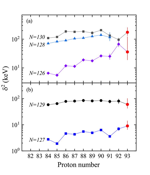
  此前,通过对原子核α衰变规律的研究,有研究者在实验中证实,在U同位素核(质子数Z = 92)中存在N = 126壳效应减弱的现象。然而,有关N = 126壳效应在Z > 92的核素中是否依然存在的研究还非常有限。

  借助于先进的波形采样数字化电子学系统,采用注入核-α关联的分析方法,研究人员建立了来自222Np的六条α衰变链,从而在实验上得到了它的衰变性质。

  222Np的实验数据,进一步完善了N = 126中子满壳附近Np同位素核α衰变的系统性。至此,研究人员不仅可以在宏观层面——α衰变能、半衰期,也可以从微观层面——约化α衰变宽度来系统性地探讨Np同位素核中N = 126中子满壳的稳定性。研究验证了Np核中的N = 126中子壳效应依然存在。

  该工作由中科院近代物理所联合中山大学、广西师范大学、同济大学、中科院理论物理所、辽宁师范大学、南京航空航天大学等单位共同完成。该工作得到了中科院战略性先导科技专项(B类)国家重点研发计划、国家自然科学基金项目、中科院青年创新促进会、中科院前沿科学重点研究项目、广西自然科学基金项目的支持。

     文章链接:https://link.aps.org/doi/10.1103/PhysRevLett.125.032502

  
  图1:实验建立的 222Np衰变链(超重核与核结构室 供图)
  
   图2: 84 Z 93缺中子核素的约化α衰变宽度的系统性规律( 超重核与核结构室 供图

                                                                             (超重核与核结构室  供稿

分享到: